映月读书网 > 世上最经典的365道逻辑思维名题 > 计算容积 >

计算容积

曾经有这样一个故事,一名毕业于名牌大学数学系的学生,因为是学校的佼佼者,所以十分傲慢。一位老者很看不惯,就给他出了一道求容积的题,老者只是拿了一个灯泡,让他计算出灯泡的容积是多少。傲慢的学生拿着尺子算了好长时间,记了好多数据,也没有算出来,只是列出了一个复杂的算式来。而老者只是把灯泡中注满了水,然后用量筒量出了水的体积,很简单地就算出了灯泡的容积。

现在如果你手中只有一把直尺和一只啤酒瓶子,而且这只啤酒瓶子的下面三分之二是规则的圆柱体,只有上面三分之一不是规则的圆锥体。以上面的事例做参考,你怎样才能求出它的容积呢?

猫抓老鼠

答案:猫跑60步可以抓到老鼠。

解法一:

猫跑5步的距离与老鼠跑9步的距离一样,所以猫鼠距离为猫跑10步的距离即老鼠跑18步的距离;而猫跑2步的时间,老鼠能跑3步,所以猫每跑10步的时间,老鼠能跑15步;因此,猫每跑10步可追近老鼠3步,追近老鼠18步猫需跑60步。

解法二:

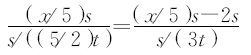
设:猫跑5步的路程等于老鼠跑9步的路程等于s;猫跑2步的时间等于老鼠跑3步的时间等于t;

则:猫跑过s,用时(5/2)t;所以,v猫=s/((5/2)t);鼠跑过s,用时(9/3)t;所以,v鼠=s/(3t)

而猫鼠距离为猫跑10步的距离即2s

再设:猫跑x步可以抓到老鼠,即此时猫跑的路程为(x/5)s,鼠跑的路程为(x/5)s-2s

他们所用时间相等,即:

解得x=60

计算容积

答案:

先把啤酒瓶底的直径测量出来,这样就可以计算出瓶底的面积。再在瓶中注入约一半的水,测出水的高度,做好记录;盖好瓶口后,把瓶子倒过来测量出瓶底到水面的高度,做记录。将两个做好的记录相加再乘以瓶底的面积便可知啤酒瓶的容积了。