“切”出一个体积最大的纸盒
数学是科学的语言,数学中用于表述大多数自然法则的是微积分。微积分是描述事物成长、变化与运动情况的数学分支。本章将讨论如何确定函数变化率,如何利用多项式等简单函数近似表示复杂函数等问题。此外,微积分是一个有效的优化工具,在我们希望某个数量最大化(例如利润或容积)或最小化(例如成本或距离)时,可以帮助我们找到答案。
例如,假设你有一块边长为12英寸的正方形硬纸板(如下图所示)。如果你从4个角上各切掉一个边长为x的正方形,然后把剩余部分做成一个纸盒,那么这个纸盒的最大容积是多少?
x的值为多少时纸盒的体积最大?
首先,我们把纸盒的体积表示成x的函数。纸盒的底面积为(12 – 2x) (12 – 2x),高为 x,因此它的体积应该是:
V = (12 – 2x)2 x
我们的任务是确定x取什么值时纸盒的体积最大。x 的值不能太大,也不能太小。例如,如果 x = 0或 x = 6,纸盒的体积都是0。因此,x的值应该在0到6之间。
我们画出x在0到6之间变化时函数 y = (12 – 2x)2 x的图像。当x =1时,我们可以计算出体积 y = 100。当x = 2时,y = 128。当x = 3时,y = 108。看起来,x = 2有可能是最佳答案。不过,在1和3之间会不会有某个实数,让盒子的体积最大呢?
函数y = (12 – 2x)2 x在最大值处有一条水平切线
在最大值的左侧,函数呈上升趋势,斜率为正值;在最大值的右侧,函数呈下降趋势,斜率为负值。因此,在最大值处,函数值既不再增大,也不再减小。用数学语言表述,就是最大值处有一条水平切线(斜率为0)。本章将讨论如何利用微积分,在0到6之间找出有水平切线的那个点。
说到切线,我们将在本章看到种类繁多的切线。例如,我们刚才考虑的那个问题是找到切掉正方形硬纸板的四角的最佳方法。事实上,本章中有很多问题都是关于如何切掉边角的。微积分这门课程的内容极其丰富,常用教材的篇幅往往超过1 000多页。囿于篇幅,本书只关注其中最重要的内容,主要讨论“微分学”(integral calculus,研究函数的增长与变化情况),而不涉及“积分学”(differential calculus,计算复杂对象的面积与体积)。
最容易分析的函数就是直线。我们在本书第2章了解到直线y = mx + b的斜率为m。也就是说,如果x增加1,y增加m。例如,直线y = 2x + 3的斜率为2,如果x的值增加1(比如从x = 10增加到 x = 11)时,y就会增加2(从23增加到25)。
在下图中,我们画出了若干条直线的图像。其中,y = –x的斜率为–1,水平直线y = 5的斜率为0。
直线的图像
取任意两点,我们都可以画出一条经过这两点的直线。而且,无须知道这条直线的函数表达式,就可以确定它的斜率。如果直线经过点 (x1, y1) 和 (x2, y2) ,我们就可以根据“高度差与水平距离之比”这个公式计算出它的斜率:
m =
在直线 y = 2x + 3上任取两点,例如(0, 3) 和 (4, 11),那么连接这两点的直线斜率为 m =
= (11 –3)/(4 – 0) = 8 / 4 = 2。计算结果与我们通过观察方程式得到的结果一致。
接下来,我们考虑函数 y = x2 + 1(如下图所示)。该函数图像不是一条直线,它的斜率一直在变化。请大家计算点 (1, 2)处切线的斜率。
计算函数y = x2 + 1在点 (1, 2)处的切线斜率
令我们感到头疼的是,我们需要知道两个点的坐标才能计算切线的斜率,但现在我们只知道一个点 (1, 2)。因此,如上图右侧所示,我们先考虑经过曲线上两点的直线(叫作“割线”),通过这条直线的斜率求出切线斜率的近似值。如果 x = 1.5,则 y =1.52 + 1 = 3.25。接下来,考虑连接点 (1, 2)与(1.5, 3.25) 的直线斜率。根据斜率公式,这条割线的斜率为:
m =
=
=
= 2.5
利用割线斜率求出切线斜率的近似值
为了更好地求出切线斜率的近似值,我们让第二个点向点 (1, 2) 靠近。例如,如果 x = 1.1,则 y = (1.1)2 + 1 = 2.21,于是新的割线斜率为 m = (2.21 –2)/(1.1–1) = 2.1。从下表可以看出,随着第二个点不断靠近点 (1, 2),割线斜率趋近于2。

现在,令x = 1 + h ( h≠0 ),且与x = 1非常接近。那么,y =( 1+h )2+1 = 2h + h2。于是,这条割线的斜率为:

随着h越来越接近0,割线的斜率也会不断地向2靠近。我们把这个现象表示成:

它的意思是,当h趋近于0时,2 + h 的极限值是2。凭直觉我们知道当h越来越接近0时,2 + h 就会不断地向2靠近。由此我们发现,函数y = x2 + 1在点 (1, 2)处的切线斜率为2。
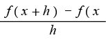
接下来,我们讨论一般情况下的切线斜率。对于函数 y = f (x),我们希望找出点 [x, f (x)]处切线的斜率。如下图所示,经过点 [x, f (x)] 和其邻近点 [x + h, f (x + h)] 的割线斜率为:
经过点 [x, f (x)] 和 [x + h, f (x + h)] 的割线斜率为
我们用符号 f '(x) 来表示点 [x, f (x)] 处的切线斜率,就有:

这个定义比较复杂,我举几个例子加以说明。对于直线 y = mx + b,有 f (x) = mx + b。要求出 f (x + h) 的值,我们可以用 x + h 替代x,即f (x + h) = m (x + h) + b。所以,割线的斜率为:

这表明斜率与x的值无关,也就是说f '( x ) = m,因为直线 y = mx + b 的斜率一定为m。
现在,我们利用这个定义求 y = x2 的“导数”(derivative)。对于这个函数,有:
=
=
=
= 2x + h
所以,当h趋近0时,我们可以得到 f ' (x) = 2x。
对于f (x) = x3:
=
=
=
= 3x2 + 3xh + h2
所以,当h趋近0时,我们可以得到 f '(x) = 3x2。
求已知函数 y = f (x) 的导函数 f ' (x) 的过程叫作“微分”(differentiation)。告诉大家一个好消息:一旦知道了一些简单函数的导数,我们就可以轻松求出某些复杂函数的导数,而无须利用前文中介绍的基于极限的正式定义。下面这条定理十分有用。
定理:如果 u (x) = f (x) + g (x),那么 u' (x) = f ' (x) + g' (x)。换言之,和的导数等于导数的和。此外,如果c是任意实数,那么 c f (x) 的导数是 c f ' (x)。
由于 y = x3 的导数是3x2,y = x2 的导数是2x,因此,根据上述定理,y = x3 + x2 的导数为3x2 + 2x。我们再举一个例子,对上述定理的第二句话加以说明,函数 y = 10x3 的导数为30x2。
延伸阅读
证明:令u (x) = f (x) + g (x),那么
=
=
+
当h趋近0时,对两边求极限就会得到:
u' (x) = f ' (x) + g' (x) □
请大家注意,在对这个方程式右边求极限的时候,我们应用了“和的极限就是极限之和”这条定理。我们不准备给出关于这条定理的严谨的证明过程,但凭直觉就能知道,如果数字a趋近A,b趋近B,a + b就会趋近A + B。我们还注意到,“积的极限就是极限的积”,“商的极限就是极限的商”,这两个说法同样正确。但是,我们也将发现,导数的相关法则不像这样简单直接。例如,积的导数并不是导数的积。
就上述定理的第二句话而言,如果v (x) = c f (x),那么:
v' (x) =
=
= c
= c f ' (x)
证明完毕。 □
在求 f (x) = x4 的导数时,我们可以先列出函数展开式: f (x + h) = (x +h)4 = x4 + 4x3h + 6x2h2 + 4xh3 + h4。这个表达式的系数依次为1、4、6、4、1。看到这些数字,大家可能会觉得有些眼熟。原来,它们是我们在本书第4章里见过的帕斯卡三角形第4行的数字。有了函数展开式之后,我们可以得到:
=
= 4x3 + h×(6x2+4xh+h2)
所以,当h趋近0时,就会得到 f '(x) = 4x3。看出其中的规律了吗? x、x2、x3和x4的导数分别是1、2x、3x2和4x3。即使指数继续增加,这个规律仍然成立,因此我们可以得出下面这个非常有用的定理。另一个常用的导数符号是y',从现在开始,我们就使用这个符号。
定理(幂函数求导公式):对于nH0,
y = xn的导数为 y' = nxn–1
例如:
如果 y = x5,那么 y' = 5x4
再例如:
如果 y = x10,那么 y' = 10x9
常数函数,例如 y = 1,也可以根据这个规则求导。因为1= x0,因此,无论x的值是多少,y = x0 的导数都是0x–1 = 0。这个结果不难理解,因为直线 y = 1是一条水平线。结合幂函数求导公式和前文中给出的那条定理,我们可以求出任意多项式的导数。例如:
y = x10 + 3x5 – x3 – 7x + 2 520
y' = 10x9 + 15x4 – 3x2 – 7
即使n不是正整数,幂函数求导公式也成立。例如:

再例如:

但是,我们目前还无法给出证明过程。接下来,我们利用已学到的知识,解决一些有趣又实用的最优化问题。
最大值、最小值与临界点
求导运算可以帮助我们确定函数值在何时达到最大或最小。例如,试求抛物线 y = x2 – 8x + 10的最低点的x值。
当 y' = 0时抛物线 y = x2 – 8x + 10处于最低点
抛物线最低点处的切线斜率必然等于0。由于 y' = 2x – 8,解方程式2x – 8 = 0可知,当 x = 4时函数的值最小(y = 16 – 32 + 10 = –6)。对于函数 y = f (x),满足 f ' (x) = 0的x值叫作函数f的“临界点”(critical point)。例如,函数 y = x2 – 8x + 10只有一个临界点: x = 4。
函数值在什么时候最大呢?在上述问题中,由于y= x2 – 8x +10的值可以任意大,因此该函数没有最大值。但是,如果x位于某个区间内,例如,0 G x G 6,那么y值将在其中一个端点处达到最大。在这个例子中,我们发现当x = 0时,y = 10;当x = 6时,y = –2。因此,该函数值在端点 x = 0处达到最大。在一般情况下,我们有下面这条重要定理。
定理(最优化定理):如果可导函数 y = f (x)在点x*处达到最大或最小值,那么x*一定是函数f的临界点或者一个端点。
我们再思考一下本章开头提出的纸盒体积问题。要解决这个问题,就需要求出下列函数的最大值(x的值必须在0至6之间):
y = (12 – 2x)2x = 4x3 – 48x2 + 144x
也就是说,我们希望找出y值最大时x的值。由于这个函数是一个多项式,因此我们可以求出它的导数:
y' = 12x2 – 96x + 144 = 12(x2 – 8x + 12) = 12(x – 2)(x – 6)
也就是说,该函数有两个临界点:x = 2和 x = 6。
在端点 x = 0和 x = 6处,纸盒的体积为0,也就是说,体积最小。在另外一个临界点 x = 2,体积最大,即 y = 128立方英寸[1]。
一个关于奶牛的微积分问题
可以求导的函数越多,我们能够解决的问题就越多。微积分中最重要的函数可能是指数函数 y = ex。这个函数之所以十分特殊,是因为它的导数与原函数相同。
定理:如果 y = ex,那么 y' = ex。
延伸阅读
f (x) = ex 为什么满足 f '(x) = ex 呢?现在,我们来探讨其中的原因。我们注意到:
=
=
现在,请大家回想一下e的定义:
e =
( 1+
)n
从定义可以看出,随着n不断增大,(1 + 1 / n)n 将会趋近e。现在,令 h = 1 / n。当n非常大时,h = 1 / n就会趋近0。也就是说,当h 趋近0时:
e ≈ (1 + h)1/h
等式两边同时求h次幂,根据指数法则(ab )c = abc,可以得到:
eh ≈ 1 + h
也就是说:
≈ 1
因此,当h趋近0时,
趋近1,
趋近ex。证明完毕。 □
是否还有其他函数与它们的导函数相同呢?有,但所有符合条件的都是 y = cex (x为实数)这种形式的函数。(注意,c = 0时函数也符合条件,我们得到的是常数函数 y = 0。)
我们已经知道,函数相加时,和的导数就是导数的和。函数乘积的导数呢?千万注意,乘积的导数并不是导数的乘积。不过,从下面的定理可以看出,乘积的导数也不难求。
定理(函数积求导法则):如果 y = f (x) g (x),那么:
y' = f (x) g' (x) + f ' (x) g (x)
例如,在求 y = x3ex 的导数时,我们令 f (x) = x3,g (x) = ex,就有:
y' = f (x) g' (x) + f ' (x) g (x)
= x3ex + 3x2ex
注意,当f (x) = x3,g (x) = x5时,根据函数积求导法则,x3x5 = x8 的导数为:
y' = x3(5x4) + 3x2(x5)
= 5x7 + 3x7 = 8x7
这与幂函数求导公式一致。
延伸阅读
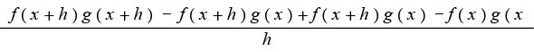
证明(函数积求导法则):令 u (x) = f (x) g (x),就有:
=
接下来,我们采用一个巧妙的方法:在分子上先减去再加上 f (x + h) g (x)。这样一来,在分子保持不变的情况下,我们把上式变成:
= f ( x + h ) [
] + [
] g ( x )
当h趋近0时,上式就会变成 f (x) g' (x) + f ' (x) g (x)。证明完毕。 □
函数积求导法则不仅可以用于计算,还可以帮助我们求出其他函数的导数。例如,我们在前文中证明当指数为正时,幂函数求导公式成立,现在我们可以证明当指数为分数和负数时,该公式也成立。
例如,幂函数求导公式表明:

我们现在用函数积求导法则来证明上述结果。假设
,那么:

对等式两边进行求导运算,根据函数积求导法则,我们可以得到:
u (x) u' (x) + u' (x) u (x) = 1
也就是说,2u (x) u' (x) = 1,因此
,这同上述结果一致。
延伸阅读
如果幂函数求导公式还可以用于指数为负数的情况,那么根据该公式,y = x–n 应该有导数 y' = –nx–n–1 =
。为了证明这个结论,我们令 u (x) = x–n,其中 n H 1。根据定义,当x ≠ 0时,有:
u (x) xn = x–nxn = x0 = 1
运用函数积求导法则,对等于两边进行求导运算:
u(x)(nxn–1) + u'(x)xn = 0
两边同时除以xn,并将等式左边的第一项移到等式右边,就会得到:
u' (x) = –n
=
证明完毕。 □
因此,如果 y = 1 / x = x–1,那么 y' = –1 / x2。
如果 y = 1 / x2 = x–2,那么 y' = –2x–3 = –2 / x3。以此类推。
在本书第7章,我们希望找到一个正数x,使函数y = x + 1 / x的值最小。当时我们利用几何知识,巧妙地证明了x = 1满足条件。但是,有了微积分之后,我们就不再需要绞尽脑汁了。由 y' = 0可知1– 1/x2 = 0,所以满足这个方程式的唯一正数就是 x = 1。
三角函数求导也非常简单。注意,下面这条定理成立的条件是所有角必须用弧度来表示。
定理:如果 y = sin x,那么 y' = cos x;如果 y = cos x,那么y' = –sin x。换言之,正弦函数的导数是余弦函数,余弦函数的导数是正弦函数的相反数。
延伸阅读
证明:要证明上述定理,需要使用下面这个“引理”(Lemma)。(引理的作用就是辅助证明定理)。
引理:

= 1且
= 0
这个引理的意思是,对于大小(弧度)接近于0的任意角h,其正弦函数接近于h,余弦函数接近于1。例如,我们利用计算器可以算出sin0.012 3 = 0.012 299 6…;cos0.012 3 = 0.999 924 3…。暂且假设这条引理是正确的,我们就可以对正弦函数和余弦函数求导了。利用第9章介绍的sin (A + B)恒等式,得出:
=
= sinx (
) + cosx(
)
根据引理,当h趋近0时,上式就会变成 (sinx) (0) + (cosx) (1) = cos x。同理,我们可以得到:
=
= cosx (
) + sinx(
)
当h趋近0时,上式就会变成 (cosx) (0) – (sinx) (1) = –sinx。证明完毕。 □
延伸阅读
利用下图,可以证明
=1。

该单位圆上有两个点,分别为 R (1, 0)和P (cosh, sinh),其中h是一个非常小的正数角。同时,在直角三角形OQR中:
tanh =
=
= QR
由此可知,直角三角形OPS的面积是
cosh sinh,直角三角形OQR的面积是
ORQR =
tanh =
。
现在,来看扇形OPR。单位圆的面积是 π12 =π,扇形OPS是单位圆的h/(2π)倍。因此,扇形OPR的面积为π(h/2π) = h/2。
由于扇形OPR包含三角形OPS,同时被包含在三角形OQR中,因此这三个图形面积的关系满足:
cosh sinh <
<
同时乘以
> 0,就会得到:
cosh <
<
如果正数a、b、c满足 a < b < c,那么1/c < 1/b < 1/a。因此:
cosh <
<
由于h趋近0,所以cosh 与1 / cosh 都趋近1。这与我们想要的结果一致。
也就是说,
= 1。 □
延伸阅读
有了上述结果,再通过代数运算(包括cos2h + sin2h = 1),就可以证明
= 0。
证明过程如下:
=
·
=
=
= –
·
由于h趋近0,因此
趋近1,且
趋近
= 0。也就是说,
= 0。□
知道正弦函数和余弦函数的导数之后,就可以求出正切函数的导数了。
定理:对于 y = tan x,y' = 1 / cos2x = sec2x。
证明:令 u (x) = tan x = (sinx) / (cosx),就有:
tanx·cosx = sinx
根据函数积求导法则,对等式两边同时求导:
tanx ·(–sinx) + tan'x·cosx = cosx
等式两边同时除以cosx,即可求出tan'x:
tan'x = 1 + tanx· tanx = 1 + tan2x =
= sec2x
上面倒数第二步是通过恒等式cos2x + sin2x = 1两边同时除以cos2x后实现的。
利用同样方法可以证明函数商求导法则。
定理(函数商求导法则):如果 u (x) = f (x) / g (x),那么:
u' (x) =
延伸阅读
函数商求导法则证明过程如下:
因为 u (x) g (x)= f (x),等式两边同时进行求导运算,根据函数积求导法则,可以得到:
u (x) g'(x) + u'(x) g (x) = f '(x)
等式两边同时乘以 g (x):
g (x) u (x) g'(x) + u'(x) g (x) g (x) = g (x) f '(x)
把g (x) u (x) 替换成 f (x),求出 u' (x) 的值,就会发现它与我们想要的结果一致。 □
我们已经知道如何对多项式、指数函数、三角函数等求导,还学会了函数和、积与商的求导方法,“链式法则”(chain rule)(本书将给出这条法则,但不提供证明过程)则会告诉我们如何对复合函数求导。例如,如果 f (x) = sinx,g (x) = x3,那么:
f [g (x)] = sin [g (x)] = sin (x3)
请注意,该函数不同于函数g [f (x)] = g (sinx) = (sinx)3。
定理(链式法则):如果 y = f [g (x)],那么 y' = f '[g (x)]g '(x)。
例如,如果 f (x) = sinx,g (x) = x3,那么 f '(x) = cosx,g '(x) = 3x2。根据链式法则,如果 y = f [g (x)] = sin (x3),那么:
y' = f '[g (x)]g '(x) = cos [g (x)] g '(x) = 3x2cos (x3)
一般来说,根据链式法则,如果 y = sin [g (x)],那么 y' = g '(x) cos [g (x)]。同理,如果y = cos [g (x)],那么 y' = –g '(x) sin [g (x)]。
另一方面,对于函数 y = g [f (x)] = (sinx)3,由链式法则可知:
y' = g '[ f (x)] f '(x) = 3[ f (x)2 ] f '(x) = 3sin2x cos x
推而广之,如果 y = [ g (x)]n,那么y' = n[g (x)]n–1g '(x)。根据链式法则,如何对 y = ( x3 )5求导呢?
y' = 5(x3)4 (3x2) = 5x12 (3x2) = 15x14
这与幂函数求导公式得出的结果一致。
请大家计算
的导数。根据链式法则:

指数函数的求导运算同样非常简单。由于ex的导数就是它本身,因此,当 y = eg(x)时,根据链式法则:
y' = g '(x) eg(x)
例如,y = ex3 的导数为 y' = ( 3x2 ) ex3。
请大家注意,函数 y = ekx 的导函数为 y' = kekx = ky。指数函数之所以非常重要,这个属性是原因之一。只要函数的增长速度与函数值的大小成比例关系,就会产生指数函数,指数函数在金融、生物领域中的出现频率特别高。
对于任意x > 0,自然对数函数lnx 都具有以下特性:
elnx = x
下面,我们利用链式法则来求它的导数。令 u (x) = lnx,则eu(x) = x。对方程式两边求导,就会得到u'(x) eu(x) = 1。由于eu(x) = x,因此u'(x) = 1/x。换句话说,如果 y = lnx,那么 y' = 1/x。根据链式法则,如果 y = ln [g (x)],则 y' =
。
我们把根据链式法则得出的这些结论汇总如下:

接下来,我们利用链式法则来解决“奶牛微积分”问题!一条小河由东向西流淌(x轴),奶牛克莱拉站在小河北边1英里的地方,牛棚在克莱拉东边3英里、北边1英里的地方。克莱拉想去小河边喝完水后回到牛棚。请问,要使克莱拉行走的路程最短,我们如何帮它找到饮水点的位置?
奶牛微积分:要使奶牛行走的路程最短,如何确定饮水点的位置?

我们还可以用第7章介绍的“映像法”来验证这个答案。我们假设克莱拉喝完水之后,不是回到点(3, 2)处的牛棚,而是如下图所示走到牛棚的映像点 B' (3, –2)处。
利用映像法,也可以解决这个问题
饮水点到点B'的距离与到点B的距离正好相等。从小河北边的任意位置走到小河南边都必须越过x轴,其中距离最短的路线是点 (0, 1)和点 (3, –2)的连线。这条直线的斜率是 –3/3 = –1,与x轴相交于 x = 1的位置。这种方法既不需要使用微积分,也不需要开平方!
泰勒级数与你的银行存款
在上一章的结尾部分证明欧拉公式的过程中,我们使用了下面这些神秘的公式:
ex = 1 + x +
+
+ …
cosx = 1 –
+
+ …
sinx = x –
+
+ …
我们先针对这些公式做一些小游戏,再探究它们的由来。请大家对ex级数中的各项求导,并观察得到的结果。例如,根据幂函数求导公式,x4 / 4! 的导数是 (4x3) / 4! = x3 / 3!,正好是它的前一项。换句话说,如果对ex级数求导,结果仍然是这个级数,这与我们了解到的ex的特性一致。
对 x – x3/ 3! + x5/ 5! – x7/7! + …这个级数逐项求导,就会得到1–x2 /2! + x4/4! –x6/6! + …,与正弦函数的导数是余弦函数这个结论一致。同样,对余弦级数求导,就会得到正弦级数的相反数。此外,请大家注意,我们从余弦级数可以得出cos0 = 1,而且由于所有的指数都是偶数,因此cos(–x)的值与cosx相等,这与我们了解到的余弦函数的特性一致。[例如,(–x)4/4! = x4/4!。]正弦级数的情况与之相似,我们发现sin0 = 0,同时,由于所有指数都是奇数,因此sin(–x) = –sinx。
现在,我们来研究这些公式是如何产生的。本章已经介绍了大多数常用函数的求导方法,但有时候我们需要对函数进行多次求导,计算该函数的二阶、三阶甚至多阶导数,记作f ''(x)、f ''' (x)等。二阶导数f ''(x)表示点[x, f (x)]处函数斜率的变化率(亦称函数的凹凸性)。三阶导数表示二阶导数斜率的变化率,以此类推。
上面这些神秘的公式以英国数学家布鲁克·泰勒(Brook Taylor,1685—1731)的名字命名,叫作“泰勒级数”。如果函数 f (x) 有导数f '(x)、 f ''(x)、 f '''(x)等,那么在x取任意“十分接近”0的值时,都有:
f (x) = f (0) + f '(0)x + f ''(0)
+ f '''(0)
+ f ''''(0)
+ …
“十分接近”是什么意思?对于某些函数而言,例如ex、sinx和cos x,x的所有值都十分接近0。但我们以后会发现,对于某些函数而言,x的值必须非常小,泰勒级数才会十分接近函数值。
我们来看幂函数 f (x)= ex的泰勒级数。由于ex 就是它自身的一阶(二阶、三阶……)导数,因此:
f (0) = f '(0)= f ''(0) = f '''(0) = … = e0 = 1
也就是说,ex的泰勒级数是1 + x + x2/2! + x3/3! + x4/4! + …,这与前面给出的结果一致。当x比较小时,我们只需计算为数不多的几项,就可以得出与确切答案非常接近的结果了。
我们用泰勒级数来计算存款的复利。在上一章,如果我们在银行里存1 000美元,年利率为5%,按连续复利的方式结算利息,那么到年底时,银行账户的金额就会变成1 000e0.05 = 1 051.27美元。利用泰勒多项式得到的二阶近似值是:
1 000 [1 + 0.05 + (0.05)2/2!] = 1 051.25美元
三阶近似值是1 051.27美元。
下图是函数 y = ex以及它的前三阶泰勒多项式的图像,以展现泰勒级数逼近函数值的效果。
泰勒级数逼近y=ex的函数值
随着我们增加泰勒多项式的阶数,近似值会越来越接近函数值,在x取接近于0的值时,近似效果最好。泰勒多项式为什么有这样的作用呢?一阶逼近(亦称线性逼近)的意思是,对于接近0的任意x,都有:
f (x) ≈ f (0) + f '(0)x
这是一条经过点 [0, f (0)]的直线,斜率为 f '(0)。同理,我们可以证明,n阶泰勒多项式在点[0, f (0)]处的一阶导数、二阶导数、三阶导数直至n阶导数都与原函数 f (x)相同。
延伸阅读
我们还可以通过x接近除0以外的其他数字,来定义泰勒多项式和泰勒级数。具体来说,函数 f (x) 在基点 a 处的泰勒级数为:

它与x = 0时的情况一样,对于十分接近a的x,无论x是实数还是复数,泰勒级数都等于 f (x)。
接下来,我们来看函数 f (x) = sinx的泰勒级数。再次提醒大家,f '(x) = cosx,f ''(x) = –sinx,f '''(x) = –cosx,f ''''(x) = sinx = f (x)。在x取0时,f (x)的n阶导数会从 f (0)开始出现循环现象:0,1,0,–1,0,1,0,–1…。因此,x的所有偶数次幂都不会出现在泰勒级数中。也就是说,对于取任意值的x(单位为弧度),都有:
sinx = x –
+
–
+ …
同理,当 f (x) = cosx时,都有:
cosx = 1 –
+
–
+ …
最后,我再举一例。在这个例子中,当x取某些值而不是所有值时,泰勒级数等于函数本身。我们来看函数 f (x) =
= (1 – x)–1,f (0) = 1。根据链式法则,我们可以算出该函数的前几阶导数:
f '(x) = (–1) (1 – x)–2(–1) = (1 – x)–2
f ''(x) = (–2)(1 – x)–3(–1) = 2(1 – x)–3
f '''(x) = (–6)(1 – x)–4(–1) = 3!(1 – x)–4
f ''''(x) = (–4!)(1 – x)–5(–1) = 4!(1 – x)–5
按照这个规律(或者使用归纳性证明法),就会发现 (1 – x)–1 的n阶导数为 n! (1 – x)–(n+1)。当x = 0时,该n阶导数就是 n!。也就是说,根据泰勒级数,我们可以得出:
= 1 + x + x2 + x3 + x4 + …
但是,这个等式只在x取–1到1之间的值时才成立。例如,如果x大于1,右边各项的值会越来越大,它的和无法确定。
我们将在下一章继续讨论泰勒级数。大家可能会想,把无穷多个数字加在一起,到底有什么意义呢?如何能求出它们的和呢?你有这样的想法很正常。在研究无穷大的本质时,我会尝试回答这个问题。与此同时,你还将接触到大量你意想不到、让你困惑、无法凭直觉理解但又充满美感的内容。
[1] 1立方英寸≈16.387立方厘米。——编者注
