最美数学公式
数学和科学杂志经常通过读者调查的方式,评选出最美的数学公式。结果,名列榜首的无一例外是莱昂哈德·欧拉提出的“欧拉公式”:
eiπ + 1 = 0
有人把它称作“上帝的公式”,因为组成这个公式的可能是数学领域最重要的5个数字:0和1是算术的基础,π是三角学中最重要的数字,e是微积分中最重要的数字,i可能是代数中最重要的数字。而且,这个概念运用了加法、乘法和幂次方等基本运算。我们对0、1和π已经不陌生了,但还需要通过本章的学习,掌握无理数e和虚数i的概念。希望大家读完本章的内容之后,可以熟练地掌握这个公式的含义,认为它跟1 + 1 = 2一样简单(至少不会觉得它比cos 180°= –1更难理解)。
延伸阅读
在这里,我把有资格竞选“最美公式”的其他数学公式介绍给大家。这些公式大多会出现在本书中,有的我们在前文中已经讨论过了,有的则会出现在本书的后续章节中。下面的第一和第二个公式的提出者也是欧拉。
1.在任意多面体(由平面、直线和顶点组成的立体图形)中,其顶点数V、棱数E和面数F满足:
V – E + F = 2
例如,立方体有8个顶点、12条棱和6个面,满足V – E + F = 8 –12 + 6 = 2。
2.1 + 1 / 4 + 1 / 9 + 1 / 16 + 1 / 25 + … = π2 / 6
3.1 + 1 / 2 + 1 / 3 + 1 / 4 + 1 / 5 + …= ∞
4.0.999 99…= 1
5.计算n!近似值的斯特林公式:

6.确定斐波那契数列的第n个数字的比内公式:
虚数i是-1的平方根
虚数i非常神秘,原因在于:
i2 = – 1
第一次听说这个数字的神奇属性时,人们往往认为这是不可能的。一个数字自乘之后,积竟然为负数,这怎么可能呢?所有人都知道,02 = 0,负数与自身的乘积必然是正数。但是,不要急于否定,想一想,你是不是也曾认为负数是不可能存在的(在几百年的时间里,数学界几乎都是这样认为的)?比0还小是什么意思?比没有还少,这怎么可能呢?最后,你把数字看成实数线(real line)上的“住户”,如下图所示,正数居住在0的右边,负数居住在0的左边。在理解i的含义时,我们也要跳出思维的“盒子”(或者说摆脱实数线的束缚)。只有这样,我们才会发现i具有实实在在的意义。
实数线上没有虚数,虚数到底躲在哪里呢?
我们把i称为虚数。如果一个数字的平方是负数,我们就说这个数字是虚数。例如,虚数2i 满足 (2i) (2i) = 4i2 = – 4。对于虚数而言,代数运算的规则不变。例如:
3i + 2i = 5i,3i – 2i = 1i = i,2i – 3i = –1i = –i,
再例如:
3i×2i = 6i2 = – 6,
= 3/2
顺便告诉大家,我们要注意一个问题:–i的平方也是–1,因为 (–i) (–i) = i2 = –1。实数与虚数相乘,会得到我们预期的结果,例如,3×2i = 6i。
实数与虚数相加时,会有什么结果呢?例如,3加4i的和是多少?答案就是:3 + 4i。这个答案没有办法进一步化简(就像1 +
没有办法化简一样)。a + bi这种形式的数字(其中a、b是实数)叫作“复数”(complex numbers)。注意,实数与虚数可被视为复数的特例(分别是b = 0和a = 0时的情况)。也就是说,实数π和虚数7i都是复数。
接下来,我们举几个运算过程比较复杂(但不是特别复杂)的例子。先来看加减运算:
(3 + 4i) + (2 + 5i) = 5 + 9i
(3 + 4i) – (2 + 5i) = 1 – i
进行乘法运算时,我们可以应用本书第2章介绍的FOIL法则:
(3 + 4i) (2 + 5i) = 6 + 15i + 8i + 20i2
= (6 – 20) + (15 + 8)i
= –14 + 23i
有了复数之后,所有的二次多项式 ax2 + bx + c 都有两个根(或者一个重根)。根据二次方程求根公式,在
时,二次多项式等于0。我们在第2章说过,如果二次根号下的数字为负数,那么二次多项式没有实根。但是现在,负数的平方根已经不再是一个问题了。例如,方程式 x2 + 2x + 5的根为:

顺便说一句,当a、b或c为复数时,二次方程求根公式仍然成立。
二次多项式至少有一个根,尽管有时候它的根是复根。下面这条定理指出,几乎所有多项式都具有这个特点。
定理(代数基本定理):任何一次或多次多项式 p (x) 在 p (z) = 0时都有根z。
注意,一次多项式3x – 6可以分解成3 (x – 2)的形式,其中2是3x – 6的唯一根。一般地,如果 a ≠ 0,多项式 ax – b 就可以分解成 a [ x – ( b / a)] 的形式,其中 b / a 是ax – b 的根。
同样,所有的二次多项式ax2 + bx + c 都可以分解成 a (x – z1 ) (x – z2) 的形式,其中 z1和z2是二次多项式的根(可能是复根,也可能是重根)。代数基本定理描述的这个规律适用于任意次的多项式。
推论:所有n H 1的多项式都可以分解成 n 个部分。具体来说,如果 p(x) 是 n 次多项式,且a ≠ 0,那么必然存在 n 个数 z1,z2,… ,zn,满足 p(x) = a (x – z1) (x – z2) …(x – zn)。数字zi是 p(zi) = 0时多项式的根。
这条推论的意思是,所有n H 1的多项式都至少有一个、至多有n个不同的根。例如,多项式 x4 – 16是四次多项式,可以分解成:
x4 – 16 = (x2 –4) (x2 + 4) = (x – 2) (x + 2) (x – 2i) (x + 2i)
它有4个不同的根,即2、–2、2i和–2i。多项式3x3 + 9x2 –12的次数是3,但它的因式分解的结果为:
3x3 + 9x2 – 12 = 3 (x2 + 4x + 4) (x – 1) = 3 (x + 2)2 (x – 1)
因此,它只有两个不同的根,即 –2和1。
复数的加减乘除运算
利用“复平面”(complex plane),可以将复数表示成图像的形式。复平面与代数中的 (x, y) 平面非常相似,不过y轴被虚轴代替,上面有0、±i、±2i等数字,如下图所示。
复平面上的点
我在前文中说过,复数的加法、减法和乘法运算都非常简单。我们还可以把复数看作复平面上的点,然后进行几何运算。
例如,我们以下面这道加法题为例:
( 3 + 2i ) + (–1 + i ) = 2 + 3i
从下图可以看出,以点0、3 + 2i、2 + 3i和–1 + i为顶点的四边形是一个平行四边形。

通常,我们在用几何方法进行复数z、w的加法运算时,可以如上图所示,通过画平行四边形的方式达到我们的目的。在进行 z – w 的减法运算时,可以如下图所示先画出点 – w,再进行点z与点–w 的加法运算。
用画平行四边形的方式完成复数的加法与减法运算
在用几何方法进行复数的乘法和除法运算时,首先需要确定它们的大小。我们把原点与点z之间线段的长度定义为复数 z 的“模”,记作| z |。具体来说,如果 z = a + bi,那么根据勾股定理:
| z | =
如下图所示,点3 + 2i的模为
。注意,3 + 2i对应的角θ满足tanθ = 2/3。也就是说,θ = tan–1 2/3 ≈ 33.7°,约为0.588弧度。
复数 z = 3 + 2i 的模为 |z| =
,角θ的正切函数tanθ = 2/3
如果在复平面上画出模为1的所有点,如下图所示,就会得到一个单位圆。圆上的复数与角θ之间有什么关系呢?我们在第9章讨论过,笛卡儿平面上的这个点被记作 (cosθ, sinθ)。在复平面上,这个点变成cosθ + isinθ。同理,所有模为R的复数都可以写成:
z = R (cosθ + i sinθ)
我们把它称作复数的“极坐标形式”。也许现在告诉你为时尚早,但是到了本章结尾,你就会知道它还等于 Reiθ。(这算不算欧拉公式的“剧透”呢?)
复平面上的单位圆
令人意想不到的是,复数可以进行乘法运算,模也可以进行乘法运算。
定理:如果z1、z2是复数,那么| z1z2 | = | z1 | | z2 |。换言之,乘积的模就是模的乘积。
延伸阅读
证明:令z1 = a + bi,z2 = c + di,则| z1 | =
,| z2 | =
。因此:
例如:

积对应的角是多少呢?复数 z 与x轴正方向构成的角常被记作arg z。例如,我们在前面计算过arg (3 + 2i) = 0.588弧度。同理,由于1 – 3i 位于第四象限,其对应的角θ满足tanθ = –3,因此arg (1– 3i) = arc tan (–3) = –71.56°= –1.249弧度。
请注意,(3 + 2i ) (1 – 3i ) = 9 – 7i 对应的角为arc tan (–7/9) = –37.87°= –0.661弧度,恰好等于0.588 + (–1.249)。但是,下面这条定理告诉我们,这其实并不是巧合!
定理:如果z1、z2是复数,那么arg (z1 z2 ) = arg ( z1 ) + arg ( z2 )。换言之,积的角就是角的和。延伸阅读中给出的证明需要用到上一章的三角恒等式。
延伸阅读
证明:令复数z1、z2的模分别是R1和R2,对应的角分别是θ1和θ2,则z1、z2的极坐标形式分别是:
z1 = R1(cosθ1 + i sinθ1) z2 = R2 (cosθ2 + i sinθ2 )
因此:
z1z2 = R1(cosθ1 + i sinθ1 ) R2(cosθ2 + i sinθ2)
= R1R2[ cosθ1 cosθ2 – sinθ1sinθ2 + i(sinθ1cosθ2 + sinθ2 cosθ1)]
= R1R2 [cos (θ1 + θ2) + isin(θ1 + θ2)]
在运算过程中,我们利用了上一章的cos (A + B) 和sin (A + B) 这两个三角恒等式。从上面的证明可以看出,z1z2的模是R1R2(前面已经证明过),角是θ1 + θ2。证明完毕。 □
总之,复数相乘时,两数的模相乘,两数对应的角相加。例如,如果乘数是i,则模保持不变,角增加90°。注意,如果相乘的两个数字是实数,则正数的角为0°(或者说360°),负数的角为180°。两个180°的角相加,和为360°,这表明两个负数的乘积是正数。虚数的角为90°和–90°(或者270°)。因此,虚数自乘时,角必然是180°[因为90°+ 90°= 180°,或–90°+ (–90°) = –180°,–180°与180°没有任何不同],乘积是负数。最后,请大家注意,如果z 的角为θ,那么1 / z的角就必然是 –θ。(为什么呢?因为 z×1/z = 1,所以z 与 1 / z 对应的角相加必然等于0°。)因此,复数进行除法运算时,只需对模进行除法运算,对角进行减法运算。也就是说,z1/z2的模是R1 / R2,角是θ1 – θ2。
e、复利与里氏震级
如果你有科学计算器,请做一做下面这个实验。
1.在计算器里输入一个你熟悉的七位数(可以是电话号码、证件号码,也可以将你喜欢的某个一位数字连续输入7次)。
2.取这个数字的倒数(按下计算器的“1 / x”键)。
3.将得到的结果加上1。
4.对得数进行幂运算,指数为最初的那个七位数(按下“xy”键,然后输入最初的那个七位数,再按下等号键)。
最终得数的前几位是不是2.718?如果得数的前几位与无理数e = 2.718 281 828 459 045…一致,我不会感到奇怪。
这个神秘数字e到底有什么特殊之处?它为什么非常重要?在上面的小实验里,你实际上是在计算(1 + 1 / n ) n的值,且n是一个比较大的数字。如果n不断增大,得数又会发生什么变化呢?一方面,随着n不断增大,数字 (1 + 1 / n) 将会越来越接近1。当1为底数时,无论指数是多少,幂运算的结果都是1。因此,有理由相信,对于大数n,(1 + 1 /n)n的值约等于1。例如,(1.001)100 ≈ 1.105。
另一方面,即使n非常大,(1 + 1 / n ) 仍然略大于1。如果底数是一个大于1的值,随着指数不断增大,得数将变成一个任意大的值。例如,(1.001)10 000 的结果就大于20 000。
问题是,在指数n增大的同时,底数 (1 + 1 / n) 正在减小。在1与无穷大的相持过程中,答案会逐渐接近于e = 2.718 28…。例如,(1.001)1 000 ≈ 2.717。下表列出了函数 (1 + 1 / n )n在n取较大值时的结果。

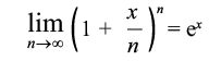
我们把e定义为(1 + 1 / n)n在n不断增大时逐渐接近的数字。数学界把它称作当n趋于无穷大时(1 + 1 / n)n的极限值,记作:
e =
(1 + 1/ n)n
如果用x / n 替代1 / n,其中x为任意实数,那么随着 n / x不断增大,(1 + x / n)n/x这个数字将会不断接近e。两边同时求x次幂[你还记得这个公式吧:(ab )c = abc ],就会得到所谓的“指数公式”(exponential formula):
(1 + x / n)n = ex
指数公式有很多非常“有利可图”的应用。假设你的储蓄账户里有10 000美元,年利率为0.06。如果每年结算一次利息,那么截至第一年年底,你的账户里将会有10 000 ×1.06 = 10 600美元。截至第二年年底,你账户里的钱又会变成10 000 ×(1.06)2 = 11 236美元。截至第三年年底,你的账户里有10 000 ×(1.06)3 = 11 910.16美元。以此类推,到第t年年底,你的存款将会变成10 000 ×(1.06)t美元。一般来说,如果我们用利率r来替代6%,一开始时的本金是P美元,那么截至第t年年底,你的存款将会变成P(1 + r ) t美元。
现在,我们假设6%的利率是按半年复利的形式计算的,也就是说每6个月可得到3%的利息。那么,到第一年年底,你的存款为10 000× (1.03)2 = 10 609美元,比年复利时的10 600美元多一点儿。如果是季度复利,那么每年可以结算4次利息,利率为1.5%,一年后的账户金额为10 000 ×(1.015)4 = 10 613.63美元。一般而言,如果每年结算利息n次,那么一年后的金额是:
10 000美元×(1+
)n美元
当n取非常大的值时,就叫作连续复利。如下表所示,根据指数公式,一年后的金额就会变成:
10 000
(1+
)n =10 000e0.06 = 10 618.36美元

一般而言,如果你最初的本金是P美元,利率为r,以连续复利的方式结算利息,那么t年后,你的存款金额A就可以用下面这个美丽的公式计算出来:
A = Pert
从下图可以看出,函数 y = ex 增长得非常快。同时,我还给出了e2x 和e0.06x 的图像。我们说,这些函数呈“指数增长”。函数 y = e–x 的图像趋近0的速度非常快,呈“指数衰减”。
一些指数函数
5x的图像有什么特点呢?由于e < 5 < e2,因此5x 的图像肯定位于ex 和e2x 的图像之间。事实的确如此,因为e1.609…= 5,因此5x ≈ e1.609x。一般情况下,只要我们找到指数k,使 a = ek,函数 ax 就可以表示成指数函数ekx 的形式。我们如何才能找到k呢?答案是利用“对数”(logarithms)。
就像平方根是平方的反函数(这两个函数相互抵消),对数是指数函数的反函数。最常见的对数是以10为底的对数,记作log x。我们说,如果10y = x,那么 y = log x,或者10log x = x。
例如,由于102 = 100,因此log 100 = 2。下面是常用对数表。

对数的用途很多,其中之一是可以将大数转化成我们容易理解的小数。例如,里氏震级利用对数将地震的大小分为1~10级。对数还可以用来测量声音的强度(分贝)、化学溶液的酸碱度(pH值),以及通过谷歌的PageRank算法来评估网页的受欢迎程度。
Log 512是多少呢?利用科学计算器就可以算出log 512 = 2.709…(大多数的搜索引擎也可以胜任这项工作)。这个得数很容易理解,因为512位于102 和103之间,它的对数肯定在2和3之间。对数的目的就是将乘法问题转化为简单的加法问题,它依据的是下面这条定理。
定理:对于任意正数x和y,都有:
log xy = log x + log y
换句话说,积的对数就是对数的和。
证明:利用指数法则,很容易就能证明这条定理。因为:
10log x + log y = 10log x 10log y = xy = 10log xy
所以,10的log x + log y 次幂等于xy。证明完毕。 □
“指数规则”是另一个有用的特性。
定理:对于任意正数x和y,都有:
log xn = n log x
证明:根据指数法则,abc = ( a b )c。因此:
10n logx = (10log x)n = xn
也就是说,xn的对数等于n log x。 □
尽管以10为底的对数在化学和物理科学(如地质学)中的应用非常广泛,但是它本身并没有什么特别之处。在计算机科学与离散数学中,以2为底的对数受欢迎的程度更高。对于任意 b > 0,以b为底的对数logb 都要遵循下面这条规则:
如果 by = x,那么y = logb x
例如,log2 32 = 5,因为25 = 32。底为任意数字b时,前面讨论的对数属性都成立。例如:
blogbx = x logbxy = logb x + logb y logbxn = n logb x
不过,在数学、物理学和工程学的大多数领域里,应用最广泛的还是以e为底的对数。这种对数叫作“自然对数”(natural logarithm),记作ln x。也就是说:
如果ey = x,那么 y = ln x
或者说,对于任意实数x:
ln ex = x
例如,利用计算器就可以算出ln 5 = 1.609…,我们在前文中也算出e1.609 ≈ 5。在本书第11章,我们将更深入地讨论自然对数。
延伸阅读
所有科学计算器都可以计算自然对数和以10为底的对数值,但是大多数计算器对其他对数却无能为力。不过,大家不用着急,因为我们可以很轻松地改变对数的底。如果知道某个对数的值,基本上也就知道了所有不同底的对数的值。具体来说,我们可以利用下面这个规则,依据以10为底的对数值得出以b为底的对数值。
定理:对于任意正数x和y,都有:
logbx =
证明:令 y = logb x,则 by = x。两边取对数,即log by = log x。根据指数规则,我们可以得出 y log b = log x。也就是说,y =(log x) / (log b)。证明完毕。 □
例如,对于任意x > 0,都有:
ln x = (log x) / (log e) = (log x) / (0.434…) ≈ 2.30 log x
log2 x = (log x) / (log 2) = (log x) / (0.301…) ≈ 3.32 log x
e与彩票的中奖概率
同数字π一样,数字e在数学领域的应用也极其广泛,经常会出现在我们意料不到的地方。例如,我们在第8章见过的钟形曲线,它的公式为:
y =
它的图像(如下图所示)可能是统计学中最重要的图像。
钟形曲线的公式为
在第8章,我们还发现n!的斯特林公式中也有e的身影:

在第11章,我们将发现e与阶乘之间有着极为重要的联系,我们也将证明ex是无穷级数:
ex = 1 +
+
+
+
+ …
具体来说,当 x = 1时,从上述公式可以得到:
e = 1 +1 +
+
+
…
据此我们可以迅速算出e的数值。
顺便告诉大家,e的小数点后的几位数出现了循环现象:
e = 2.718 281 828…
我的中学老师说:“2.7安德鲁·杰克逊,安德鲁·杰克逊。”这是因为安德鲁·杰克逊于1828年当选美国第7任总统。(我的记忆方法则正好相反,我是利用e的数值来记忆安德鲁·杰克逊当选美国总统的年份的。)你也许认为e是一个有理数,如果1828这几个数字一直循环,那么e确实是有理数,但真实情况并非如此。之后的6个数字是 …459 045…。对于这几个数字,我是借助等腰直角三角形的内角度数来记忆的。
你也许根本想不到,e还会出现在很多概率问题中。例如,假设你每周都会买彩票,中奖概率是1%。如果你连续100周买彩票,那么至少有一次中奖的概率是多少?每周中奖的概率是1/100 = 0.01,没中奖的概率是99/100 = 0.99。由于每周的中奖概率与之前的情况无关,因此,连续100周都没有中奖的概率是:
(0.99)100 ≈ 0.366 0
这个数字非常接近1 / e ≈ 0.367 879 4…,这个结果并不是巧合。大家不妨回想一下我们第一次接触ex 时谈及的指数公式:

如果令 x = –1,那么对于任意大数n,都有:

当n = 100时,(0.99)100 ≈ 1 / e,与前面的结果一致。因此,中奖概率约为1 – (1 / e) ≈ 64%。
我最喜欢的一个概率问题叫作“匹配问题”(亦称“帽子保管问题”或“错排问题”)。假设有n份作业要发给n个同学,但是老师比较懒惰,给每名学生随机发了一份作业(这份作业可能是这名学生的,也可能是班上其他同学的)。所有学生都没有拿到自己作业的概率是多少?或者说,如果数字1~n被随机打乱,所有数字都不在它原来位置上的概率是多少?例如,如果 n = 3,那么数字1、2、3有3! = 6种排列方式,所有数字都不在原来位置上的情况有两种,即231和312。也就是说,当 n = 3时,错排的概率是2 / 6 = 1 / 3。
发n份作业共有n! 种发作业方式。令 Dn 表示错排的种数,那么所有人都没有拿到自己作业的概率是 pn = Dn / n!。例如,如果 n = 4,就会有9种错排方式:
2143 2341 2413 3142 3412 3421 4123 4312 4321
如下表所示,p4 = D4 / 4! = 9 / 24 = 0.375。

随着n不断增大,pn 逐渐向1 / e靠拢。这个现象有一个令人吃惊的意义,即无论这个班上有10名、100名还是100万名学生,所有人都没有拿到自己作业的概率也不会发生太大变化,都与1 / e非常接近。
为什么呢?因为在有n名学生时,每名学生拿回自己作业的概率是1 / n,拿到其他人作业的概率是1 – (1 / n)。也就是说,n名学生都拿不到自己作业的概率为:

这个概率是一个近似值,原因在于它不是独立事件,与彩票的中奖概率问题不同。如果第一个学生拿到的是自己的作业,那么第二个学生拿回自己作业的概率就会略有增加。[概率不再是1 / n,而是1 / (n –1)。]同样,如果第一个学生拿到的不是自己的作业,那么第二个学生拿回自己作业的概率就会略微减小。不过,由于概率变化的幅度不大,因此逼近效果很明显。
计算概率 pn 的精确值需要使用ex 的无穷级数展开式:

把 x = –1代入方程式,就会得到:

可以证明,如果有n名学生,所有人都没有拿到自己作业的确切概率是:

例如,如果有 n = 4名学生,那么pn = 1 –1 + 1/2 – 1/6 + 1/24 = 9/24,这同前面的证明结果一致。pn 向1 / e逼近的速度非常快,两者之间的距离小于1 / (n + 1)!。也就是说,p4 与1 / e的距离小于1 / 5! = 0.008 3;p10 与1 / e的前7位数字都相同;p100 与1 / e相同的数字超过150个!
延伸阅读
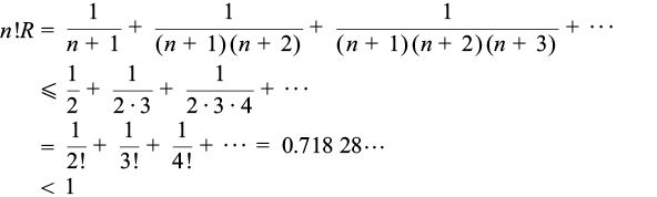
定理:数字e是无理数。
证明:假设e不是无理数,而是有理数,就存在正整数m、n,满足e = m / n。接下来,用整数 n 将e的无穷级数展开式分成两个部分L和R,即e = L + R,其中:

注意,n! e = en (n – 1)! = m (n – 1)! 肯定是一个整数[因为 m 和 (n– 1)! 都是整数],n! L 也是一个整数(因为只要 k G n,n! / k! 就一定是一个整数)。也就是说,n! R = n! e – n! L 是两个整数的差,因此,它肯定是整数。但这个结果是不可能的,因为当n H1时:

由于不存在小于1的正整数,所以 n! R 不可能是整数。也就是说,假设e = m / n会导致自相矛盾的结果,从而证明e是无理数。 □
完美至极的欧拉公式
数字e的研究与推广得益于伟大的数学家莱昂哈德·欧拉,也是由欧拉来命名的。有人认为,欧拉之所以选择用字母e来表示这个数字,是因为这是他姓氏的首字母。尽管大多数数学史研究者都不同意这个说法,但还是有很多人把e称为欧拉数字。
我们已经介绍了函数ex、cos x和sin x 的无穷级数展开式,并将在下一章解释这些无穷级数的由来。在这里,我先对这些无穷级数做一个归总:

这些公式在x为任意实数时均成立,但是欧拉勇于打破常规:如果令x为虚数,结果会怎么样?一个数的虚数次幂意味着什么?他的脑洞大开为我们带来了完美的“欧拉定理”。
定理(欧拉定理):对于任意角θ(单位为弧度),都有:
eiθ = cosθ + isinθ
证明:为了证明上式成立,我们将 x = iθ代入ex 的无穷级数展开式中:
请大家观察i的不同次幂的特点:i0 = 1,i1 = i,i2 = –1,i3 = –i(因为i3 = i2 i = –i)。随后出现了重复现象:i4 = 1,i5 = i,i6 = –1,i7 = –i,i8 = 1,以此类推。具体来说,我们可以看出在 i 的不同次幂中,实数与虚数交替出现。因此,我们可以通过下面的代数运算,消去偶数项中的i。

至此,我们就可以证明本章开头介绍的“上帝的公式”了。令θ= π弧度(或180°),就有:
eiπ = cosπ + i sinπ = –1 + i (0) = –1
但是,欧拉定理并没有就此止步。我们在前面已经见过cosθ+ i sinθ这个表达式,它是复平面单位圆上的一个点,与x轴正方向的夹角为θ。如下图所示,欧拉定理指出,我们可以用一个非常简单的方式来表示这个点。
欧拉定理指出,单位圆上的所有点都可以表示成eiθ的形式
惊喜还没有结束!欧拉定理指出,复平面上的所有点都与单位圆上的点成比例关系。具体来说,如果复数 z 的模为R,角为θ,那么这个点就是单位圆上对应点的R倍,即:
z = R eiθ
因此,如果复平面上有两个点z1 = R1eiθ1和z2 = R2eiθ2,那么根据指数法则(含有复数),我们可以得到:
z1z2 = R1eiθ1 R2eiθ2 = R1R2ei (θ1+θ2)
上述结果表示的是一个模为R1R2、角为θ1+θ2 的复数,我们再一次证明了复数的乘法运算法则:模相乘,角相加。我们在前文中证明这个定理的时候,用的是代数运算和三角恒等式,证明过程大约有一页纸的篇幅。现在,我们在用欧拉定理证明这个法则时,证明过程只有短短的一行字,因为我们有了e这个数字!
最后,我要仿照乔伊斯·基尔默(Joyce Kilmer)的诗作《树》,为我们拥有这个极其重要的数字赋诗一首。同时,我希望乔伊斯·基尔默不要介意我这样做。
我想我永远不会看到
比e更受人喜爱的数字。
这个数字永远写不完,
它是2.718 28…
它有如此神奇的特性,
深受人们喜爱(老师们更是额手称庆)。
e为我们创造了诸多便利条件
整数处理起来变得非常容易,
定理可以由像我这样的傻瓜来证明,
但e只能由欧拉来命名。
