当前位置:映月读书网 > 数学女孩 > 10.6 教室

10.6 教室

我回到教室去拿书包,突然觉得有点不舒服。

于是我坐到自己的位子上,趴在桌子上。

我一味地求通项公式 Pn 真是失败透顶。问题不是特地写成了不等式吗?虽然我得意地解出了生成函数,可是这对问题的解决一点帮助都没有。

真是后悔啊!

拿到问题后,能看到目的地在很远的地方。为了解决这个问题,需要自己寻找一个个小问题,自己寻找通往目的地的路。但我却选错了路。我以为分拆数的通项公式是可以像寻找斐波那契数列或者卡塔兰数那样来求得的。

真是不甘心啊!

有人走进教室。听这脚步声像是米尔嘉的,脚步声越来越近。

只听到米尔嘉说:“你怎么了?”

我没有回答,也没有抬头。

“好像情绪有些低落啊。”米尔嘉说。

寂静的教室,米尔嘉也一动不动。

沉默。

我最终忍不住抬起头来。

和往常那一本正经的米尔嘉不同,现在她的表情有点困惑的样子。

终于,米尔嘉开始挥动手指。

1 1 2 3

是斐波那契手势。数学爱好者之间的问候语。但是我没有心情摊开手掌回应她。

米尔嘉把手放在身后,侧着脸说:“泰朵拉,很可爱吧。”

我还是没有回答。

“我怎么也不可能像她那么可爱吧……”她又说。

我……仍然没有回答。

教室里的广播开始播放德伏扎克的《家路》。

“我没有解答出来……因为我走错了路。”我说。

“嗯……”米尔嘉说,“在地球上的各个角落,在庞大的时空里,数学家们为了解决各种各样的问题一直在探索。最终什么都没有发现的人也很多。但是,你可以说他们所做的探索都是没有意义的吗?不是,如果不探索的话,能不能找到方法谁也无从得知。如果不试着找找看的话,能不能完成也无人知晓。……我们都是旅途中的旅行者。可能会有疲倦的时候,也可能会有搞错路的时候。但即便如此,我们还是得继续我们的旅程。”

“我……我以为自己很懂似的,得意洋洋地求出了生成函数。可是,这对解决这道题一点意义都没有。真像个傻瓜。”我说。

“如果是这样的话……”米尔嘉转过头看着我说,“如果是这样的话,那么我来找出需要使用你找到的生成函数 P(x) 的问题吧。”她笑了笑,又一次挥动自己的手指。

还是斐波那契手势。

1 1 2 3 ...

接着,她又摊开自己的手掌,自己回应自己。

... 5

然后,她将自己摊开的手伸向坐在位子上的我。温暖的手指碰触在我的脸颊上。

“如果你累了的话,休息下就好了。如果你走错路的话,返回就好了。——因为这一切的一切都是我们的旅程。”

她这么说着,身子朝前倾,突然把脸凑近我。

我们俩的眼镜就要碰到一起了。

透过镜片,我可以看到她那深邃的眸子。

接着,她又稍稍侧了侧脸,慢慢地靠近我——

“如果这时瑞谷老师出现的话一定会吓一跳吧。”我不由自主地说。

“你闭嘴。”米尔嘉说。

10.7 寻找更好的上限之旅

过了几天。

放学后,米尔嘉突然叫住我。

她说:“我求出了比斐波那契数列更好的分拆数上限,希望你能来听听。哦,对了,再叫上泰朵拉。”

10.7.1 以生成函数为出发点

米尔嘉拿着粉笔站在讲台上。

我和泰朵拉在教室的最前排听她“讲课”。除了我们三人之外就没有其他人了。

“求分拆数 Pn 的上限就是求满足 PnM(n) 的函数 M(n)。之前我们证明了斐波那契数列是分拆数的上限。接下来,我们要求一个更好的上限。”米尔嘉说。

“更好的上限是不是指比斐波那契数列更小的上限呢?”泰朵拉举起手提问道。

“正是。但这是当 n 为很大的数值的时候哦。”米尔嘉简略地回答道。

“另外,我们的出发点就是生成函数。”米尔嘉眯起眼睛说。

◎  ◎  ◎

我们的出发点是生成函数。首先我们先考虑一下分拆数 Pn 和生成函 数 P(x) 的大小关系。如果考虑的范围是 0 < x < 1 的话,Pn 乘以 xn 的式子就应该比 P(x) 小。

为什么这么说呢?是因为生成函数的定义里也包含有 Pnxn 这一项。以下式子中,因为不等号右边的各项都是正数,所以不等号左边一定比右边小。

对了,我们还知道生成函数 P(x) 的另一种形式。对,也就是乘积的形式(米尔嘉朝我这里瞟了一眼)。所以,不等号右边可以变形为以下形式。

两边同时除以 xn

这时,不等号右边要大于 Pn,也就是说可以成为上限的候选。但是,无限项积很难处理。所以,如果加上“最大为 n 元硬币”这个限制条件,就可以用下面这个有限项积的式子。

到这个不等式为止,我们走的路还算顺畅。只是不等号右边的乘积形式有点难缠。这里就要动动脑子了。

我是这样想的。乘积形式比较复杂,不如把它转变成和的形式。把积变为和应该怎么做呢?

10.7.2 “第一个转角”积变为和

“取对数不就好了。取了对数,就能把乘积形式变为和的形式了。”我说。

“正是如此。”米尔嘉答道。

◎  ◎  ◎

正是如此。

两边同时取对数。这里就是“第一个转角”了。我们从家里出发,从“寻找 Pn 的上限的道路”转向“寻找 的上限的道路”。泰朵拉,这些能够明白吧。细节讨论是很重要的,但是不要迷失了大方向。

取了对数后就可以变成和的形式,所以就可以求得以下式子。

看了这么长的式子真是令人心烦。我们用 来表示,这也是一样的。

好了,这么一来,问题就分为了东西两条路,也就是“分叉路”。但我们还会回到这里的,所以先要好好记住这个地方哦。

如果朝西前进的话,就会碰见“山丘”,如果朝东前进的话,就会碰见“森林”。

10.7.3 “东边的森林”泰勒展开

首先,我们来讨论一下“东边的森林”。

东边的森林由 n 棵树组成。下面我们就来寻找组成“东边的森林”的“东边的树木”,也就是 的上限。

现在摆在我们眼前的问题是要讨论以下函数。

在考虑这个函数之前,我们先用换元法将 t = xk 代入,考虑函数 f(t)。

我想先研究函数 f(t)。该怎么做才好呢?泰朵拉,你说说看该怎么做呢?

◎  ◎  ◎

“啊?我吗?我还不是很了解 log 是什么,不好意思啊。”泰朵拉说。

“你不了解的函数 f(t) 在这里噢。泰朵拉,你看你看。你不是还写着‘一生都不会忘记’的吗?”米尔嘉说。

“啊!是泰勒展开!”泰朵拉大声叫道。

“嗯。”米尔嘉说,“利用泰勒展开把 f(t) 改写成幂级数看看。”

◎  ◎  ◎

利用泰勒展开把 f(t) 改写成幂级数看看。

对对数函数进行微分,就需要了解复合函数的微分,这里只写一下结果。

利用泰勒展开可以将函数 展开为以下的幂级数形式。

如果我们再回到 t = xk 的话,就可以得到“东边的树木”的幂级数展开。

  这里

根据这个式子,取关于 k = 1, 2, 3, ... , n 的和,也就是靠“东边的树木”来创造“东边的森林”。

再进行泰勒展开。

内侧的和也用 来表示。

然后调整求和的顺序。

由于 m 不受内侧的 约束,因此可以把 提取出来。

展开内侧的 ,验证一下自己的想法。

我们在中途调整了求和的顺序。通过无穷级数来调整求和的顺序时,有几个需要注意的地方,但是在此我们就不深究了。

好了,我们在这里歇一歇吧。因为我们现在要求的是上限,所以我们要寻找比“东边的森林”更大的式子。于是,我们将有限项和变成无限项和,然后用不等号连接。变成无限项和是为了利用等比数列的求和公式。我们继续讨论。

将内侧的有限项和变成无限项和,用不等号连接。

假设 0 < xm < 1,利用等比数列的求和公式可得到下式。

到此为止我们停一下。这里同样不用求最后的公式。因为现在我们求的是上限,所以只要比这个式子大就可以了。我们来观察一下分数 的分母 1 -xm。如果用比分母更小的式子来代替这个分母的话,又可以制造出一个不等式。

这样做好吗?我们现在所做的是“建立容易处理的式子”和“建立稍大一些的式子”的交换。这里我们没有“建立容易处理的式子”,而是做出妥协,使上限大了一些。每妥协一次,就会出现一个不等号。

那么,我们再接着讨论“东边的森林”。

然后将分母进行因式分解。

把分母中的 变成最小项 的和,这样就建立起不等式了。

因为有 m,所以可以表示成积的形式。

◎  ◎  ◎

“整理好这些后,泰朵拉一定会大声叫起来。”米尔嘉朝泰朵拉调皮地一笑。

“嗯?米尔嘉,为什么说我一定会大声叫起来呢?”泰朵拉不明白。

“你要试试看吗?”米尔嘉说。

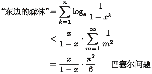
整理式子后可得

把不受 约束的因式提取出来……

“啊!”泰朵拉惊叫起来。

“你看,我说吧。”米尔嘉说。

“这是巴塞尔问题!是 ,是这个!”泰朵拉叫道。

“正是如此。”米尔嘉竖起食指。

◎  ◎  ◎

正是如此。这里我们借用一下欧拉老师解出来的巴塞尔问题的结论。

  巴塞尔问题

利用这个结论,我们继续往下讨论。

关于“东边的森林”的讨论就到此为止了。

对了,考虑到后面的步骤,我们先暂时用换元法假设 ,这样“东边的森林”就可以写成以下形式。

“东边的森林”的上限

  这里

10.7.4 “西边的山丘”调和数

旅途已经走了一半了。现在我们回到那个“分叉路口”,这次我们往“西边的山丘”前进。

假设 0 < x < 1,然后讨论

和刚才一样,先用换元法假设 。根据 0 < x < 1 这个条件可以求得 0 < t。另外,x 可以变形为

这里我们来关注一下 。假设 ,我们研究一下在 u 大于 0 的时候 的情况。方法就和研究调和数的方法相似。我们画一下“西边的山丘”的平缓的图像吧。

对于 u > 0,因为长方形的面积大于阴影部分的面积,所以我们可以建立以下不等式。

因为 ,所以可得

因此,我们能求得以下式子。

好了,对于“西边的山丘”的讨论就到此为止。

“西边的山丘”的上限

这里假设

10.7.5 旅行结束

好了,让我们再一起回到“分叉路口”,快点快点。

利用“东边的森林”和“西边的山丘”对 进行讨论后,我们得到了以下不等式。

还差一点点。下面我们给以上式子的右侧取名为 g(t),然后来求当 t > 0 时函数 g(t) 的最小值,因为使用这个最小值可以压制住 的值。

因为方程式 g'(t) = 0 的解为 ,所以在 t > 0 的范围内考虑的话,可以得到以下增减表。

根据图表可知,最小值为以下形式。

为了更方便理解,我们将图画成以下形式。求方程式 g'(t) = 0 的解是为了寻找这个图中切线呈水平形状时的点。

因为现在我们关心的是 n,所以我们先把那些复杂的常数归纳起来统称为 K

  这里

一开始我们在“第一个转角”处取了对数,这次我们要取对数的相反形式。如果我们回到转角处,就可以看到家了。

  这里

好了,我们的工作可以暂时告一段落了。

虽然经历了长途跋涉,但是终于还是回到了家。——欢迎你回来。

分拆数 Pn 的上限之一

  这里

的上限 的“旅行地图”

10.7.6 泰朵拉的回顾

我和泰朵拉共同享受着米尔嘉的长途之旅。虽然有几处想确认一下,但不管怎样,长途之旅终于结束了……一直在追寻数学公式,现在终于可以喘口气了。

我看了看泰朵拉,她一副认真的表情,沉默着不说话。

“喂,泰朵拉,你该不会沮丧起来了吧?”我小声问她。

“没有,没什么,我一点都没有沮丧。”泰朵拉爽朗地笑了笑说,“在米尔嘉的推导过程中,我不明白的地方有很多。但是,我一点都不沮丧。因为我明白的地方也有不少。”

泰朵拉点了点头又继续说道:“不知道为什么,我觉得自己动足了脑筋,真是好漫长的旅行啊。虽然有很多地方还没有完全理解,但是大方向我算是把握住了。然后,看到有那么多武器出现真是有趣极了。手持武器进行对战的感觉简直太帅了。”

  • 将有限项和变为无限项和后建立不等式

  • 没有变形成简便形式,而是稍稍扩大上限的范围

  • 取对数把积的形式变为和的形式

  • 利用无穷级数的求和公式

  • 碰到困难时利用泰勒展开

  • 复杂的地方用换元法

  • 欧拉老师的巴塞尔问题

  • 为了求最小值进行微分并制作增减表……

“拿到了这些武器之后,自己去打磨,然后直面问题,我感受到了这种活力四射的行动。米尔嘉不光解答了已有的问题,还传达给我一种活灵活现的感觉……从‘转角处’到‘分叉路口’,然后再是‘东边的森林’和‘西边的山丘’……我也好想自己发现这些东西!我还想再多学一点!米尔嘉,谢谢你。虽然我还不能熟练地运用这一件件武器,虽然在使用这些武器之前我必须先学习如何得到这些武器,但是我会努力的!”泰朵拉握紧拳头说。

10.8 明天见

我们三个人在回家的路上还在继续讨论。泰朵拉兴高采烈地不停地问着问题,我一一作答,米尔嘉时不时地作些评论。我们的对话以这种方式进行着。

终于,我们穿过了平时一直走的那条小路,来到了和往常一样的地铁站。

如果是平时的话,米尔嘉会一个人匆匆回家,而今天泰朵拉却准备跟着她走。

“咦?泰朵拉,你今天为什么朝那里走啊?”我问。

“呵呵,我今天和米尔嘉一起去书店。”她答道。

啊,原来如此。她们俩现在关系还真好。

“那么,我们先走了。明天见。”米尔嘉说。

“学长!我们明天再一起做数学噢!”

泰朵拉大声说完,就和米尔嘉并排走了。

离开的两人。

被留下的我。

一路上说说笑笑,突然变成我一个人还真有点寂寞呢。

我们现在上同一个高中。可是,总有一天,我们会分开,分别走向自己未来的道路。不管我们现在共同拥有多少东西,我们共同拥有的时间和空间都是有限的。天下没有不散的筵席。我感到有点心痛。

对面,泰朵拉和米尔嘉在耳语着什么。最终,他们两人朝我这里回过头来。

怎么了?

泰朵拉高高地举起右手,拼命地朝我挥手。米尔嘉则安静地举起右手。突然,她们俩同时朝我挥动起手指。

泰朵拉嘴里说着:“1, 1, 2, 3。”

啊,是斐波那契手势,而且还是两个人一同给我做手势。

我苦笑了一下。

确实,时间和空间是有限的。确实,我们总会有分开的时候。但是正因为这样,我们才会努力学习,我们才会努力前进。我们的信仰是享受数学。

因为“数学穿越时空”。

我摊开双手高高举起,向两个数学女孩回应。

米尔嘉。

泰朵拉。

明天见,让我们一起学数学!

于是,我们的故事就这样结束了。

但是,我们能够发自内心地说

那些人永远幸福地生活下去了。

实际上,对那些人来说,真正的故事才刚刚开始。

无论是在这个世上度过的平淡一生,还是在纳尼亚王国经历的奇幻历险,

都只不过是书的封皮而已。

—— 克利夫·刘易斯,《最后一战》a