映月读书网 > 数学女孩2:费马大定理 > 8.3 我的旅行 >

8.3 我的旅行

8.3.1 旅行的出发点:用 m, n 表示 A, B, C, D

夜晚,在自己家里。

我即将要出发去旅行,一场推导矛盾的旅行。已确认出发地点。自然数 A, B, C, D 有着如下关系。就从这里开始推导矛盾。

出发点

A2 + B2 = C2 和 AB,可知 A, B, C 是一组基本勾股数。也就是说,采用‘基本勾股数的一般形式’,就可以用 m, n 表示 A, B, C。这就是泰朵拉所说的毕达哥拉·榨汁机。

基本勾股数的一般形式(毕达哥拉·榨汁机)

自然数 m, n 的条件:

  • m > n

  • mn

  • m, n 仅有一方为奇数(两者奇偶性不一致)

(参考 2.5 节)

由“面积是平方数”这个条件我们已经推导出了 AB = 2D2 这个等式,接下来将 m, n 代入这个等式,研究 D 的性质。

之前虽然跟泰朵拉讲了定义方程式的作用,但自己面临导入变量的时候,心中还是会有一丝不安。我很担心,会不会增加变量后搞得一团乱呢……

我告诉自己“要信赖数学公式”,赶走了心中不安的情绪。数学公式的好处就在于,可以脱离含义,用机械性的操作来一层层解开问题。只要将基本勾股数的一般形式纳入式子中,就可以忘掉直角三角形的事儿了。之后胜负就取决于能否将数学公式作为武器熟练运用了。

首先用 m, n 表示 AB = 2D2。

虽然看不到路途前方有什么,但旅行开始了。

上路吧!

看,出现了这样的等式。

D2 = mn(m + n)(m - n)

这不是……之前做过的形式吗?

左边的 D2 是“平方数”。

然后,右边是“互质数字的乘积”,没错……吧?

因为 mn 互质,所以从这里出现的四个因子

m, n, m + n, m - n

中,任意拿出两个因子,都可以两两互质……是吧?

比如说,存在 (m + n) ⊥ (m - n) ?

我很不安。

如果在这里不存在 (m + n) ⊥ (m - n),我就失去了重要的武器。用反证法踏踏实实地证明吧。

假设 m + nm - n 不互质,此时应存在某个质数 p 和自然数 J, K 使得下式成立。

这个质数 pm + nm - n 共同的质因数。

只要从这个式子推导出矛盾,就能证明 m + nm - n 互质了。来,看看能不能守住武器。

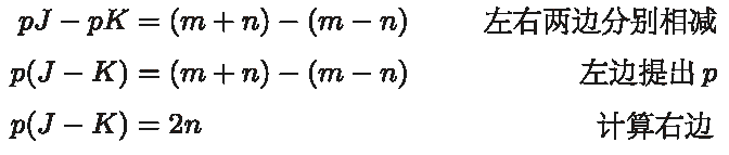
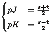
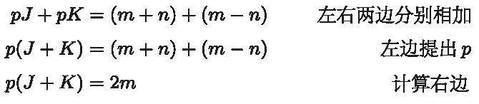
把上面两个式子左右两边分别相加,导出 pm 的关系。

将左右两边分别相减,导出 pn 的关系。

于是得到以下关系。

变成了乘积的形式,我已经明白了!

首先,p 不可能等于 2。因为 mn 的奇偶性不一致,所以 pJ = m + n 是奇数,因此 p 不是偶数。也就是说,p 不可能等于 2。

但是 p 也不可能大于等于 3。因为如果 p 大于等于 3,mn 就都是 p 的倍数。但是 mn —— 也就是说 mn 没有共同的质因数。所以 p 不可能大于等于 3。

综上所述,可以说 (m + n) ⊥ (m - n)。

呼……

以防万一,我把 m + nm 互质的关系也写出来吧。

假设 m + nm 不互质,此时存在某个质数 p 和自然数 J, K 使得下式成立。

采用跟刚才同样的方法,得到如下等式。

据此可知 m, n 都是 p 的倍数,和 mn 相矛盾。

同理可证 m - nmm + nnm - nn 都互质。

好,这样就证明了四个因子

m, n, m + n, m - n

是分别两两互质的。我牢牢守住了重要的武器。

那么言归正传。刚刚经研究得出了下式。

D2 = mn(m + n)(m - n)

一方面,左边的 D2 是平方数。如果进行质因数分解,就能得到 D2 含有偶数个质因数。

另一方面,右边四个因子 m, n, m + n, m - n 是两两互质的 —— 也就是说没有共同的质因数。

想象一下把左边的质因数分配到右边四个因子中的情况,则四个因子都各自含有偶数个质因数。总之一句话,“m, n, m + n, m - n 全部是平方数”!

“互质”真的是一件实用的武器啊……用“最大公约数为 1”体现“互质”的时候还有些摸不清状况,而换成“没有共同的质因数”就感觉一下子开窍了,就如同一把锋利的长剑。

8.3.2 原子和基本粒子的关系:用 e, f, s, t 表示 m, n

接下来用数学公式来表示 m, n, m + n, m - n 是平方数这个条件吧。

刚才我们用 m, n 表示了 A, B, C, D

这次用 e, f, s, t 表示 m, n

嗯?

我……

我难不成踏上了发现微结构的旅途?

研究原子 (A, B, C, D),发现了小原子 (m, n)。

研究原子 (m, n),又发现了更小的基本粒子 (e, f, s, t)……

这次的旅行就是这么回事吧。

没准还有更小的夸克……

接下来……

因为 m, n, m + n, m - n 是平方数,所以存在以下自然数 e, f, s, t

e, f, s, t 表示 m, n, m + n, m - n“原子和基本粒子的关系”

e, f, s, t 分别两两互质。

又导入了新的变量,而且还是四个……不过一定没问题的。要信赖数学公式,信赖数学公式……

下面该往哪边走呢?我重看了一遍笔记想着。

试试用 e, f, s, t 表示 m 吧。虽然已经有 m = e2 这个等式了,不过由下面的式子应该能够得到些什么。

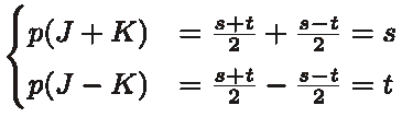
嗯,把两个式子左右两边分别相加相减,可以用 s, t 表示 m, n,即用基本粒子来表现原子的结构。

根据“两数之和乘以两数之差等于平方差”,将 2n=s2 - t2 的右边变形为乘积的形式。做出乘积的形式,是为了方便研究整数的结构。

可得到 fs + t, s - t 的关系,即基本粒子间的关系。

fs + t, s - t 的关系“基本粒子间的关系”

2f2 = (s + t)(s - t)

8.3.3 研究基本粒子 s + t, s - t

下面来研究刚才得出的式子 2f2 = (s + t)(s - t),先从等式右边的因子 s + t, s - t 开始吧。

s + ts - t 是整数。首先“调查奇偶性”。

s 的奇偶性如何呢?根据“原子和基本粒子的关系”,可知存在 m + n = s2。m + n 的奇偶性……我懂了。因为 mn 的奇偶性不一致,所以 m + n 不是偶数 + 奇数就是奇数 + 偶数。不管怎样,m + n 都是奇数,也就是说 s2 也是奇数。s 平方后还得奇数,说明 s 也是奇数。好,明确 s 是奇数了!

t 的奇偶性同理。存在 m - n = t2,mn 的奇偶性不一致。t2 是奇数,因为 t 平方后还得奇数,所以 ((t 也是奇数((。

因此,st 都是奇数 —— 就是它!

因为 st 都是奇数,所以 s + ts - t 都是偶数。

话说回来,st 互质吗?

因为 (m + n) ⊥ (m - n),所以 s2 ⊥ t2。因为平方后的数字互质,所以平方前的数字也互质。没有共同的质因数这点在平方前和平方后是不变的。也就是说,st 是互质的。

好,这样就明确了 st

咦?我不是在“原子和基本粒子的关系”中以“e, f, s, t 分别两两互质”为前提导入了变量吗……算了,总之可以肯定 st

这样 st 就基本摸透了。

s, t 可知

  • s 是奇数

  • t 是奇数

  • s + t 是偶数

  • s - t 是偶数

  • st 互质(st)

我又看了一遍笔记,考虑应该把刚刚得到的 s + ts - t 的条件代入哪个式子。

带有 s + ts - t 这样的因子的数……在这个“基本粒子间的关系”中。

2f2 = (s + t)(s - t)

因为 s + ts - t 是偶数,所以 是整数。上式可写成下面这样。

写成这样后,右边就成了四个整数的乘积的形式。

在等式两边同时除以 2,得到

左边是平方数……慢着,诶?我刚才不也做了一样的事吗?这不是又绕回原路了吗?

不不,不要紧。等式左边的 f2 是平方数,右边含有质因数 2。因为等式右边应该也是平方数,所以另一个质因数 2 应该分配给两个因子中的一个,即 中的一个。

也就是说, 之中有一个是偶数。

是不是互质的呢?

打比方说,假设 不互质……类似这种检验已经做了无数回了吧。设它们有共同的质因数 p,则存在整数 J, K,它们之间的关系可以用下式表示。

将等式左右两边分别相加,分别相减,得到下式。

明白了。由以上等式可知,st 都是 p 的倍数。因为 st 都有共同的质因数 p,所以这与 st 相矛盾。因此可以得出结论: 互质。

中有一方是偶数, 还是互质的……因为没有共同的质因数,所以一方为偶数的话,另一方就为奇数。

这就意味着,像往常一样考虑分配质因数的话……偶数是“2 × 平方数”的形式,奇数则是“奇数的平方数”的形式。

用语言表达可能有些复杂。再导入构成“基本粒子”s, t 的“夸克”u, v 怎么样?设 u, v 是互质的自然数。

这样一来,“2 × 平方数”就能写成 2u2,“奇数的平方数”就能写成 v2 了。

中有一方是 2u2,另一方是 v2。

呼……

8.3.4 基本粒子和夸克的关系:用 u, v 表示 s, t

就快受不了像洪水一样泛滥的字母了。我又慢慢地把笔记啃了一遍,就夸克进行了一下整理。

关于 “基本粒子 s, t 和夸克 u, v 的关系”

  • 是“互质”的。

  • 中有一方是 2u2,另一方是 v2。

  • uv 是互质的(uv)。

  • v 是奇数。

很好,不错不错! 不,糟了!

只有这点条件,根本分不出 里谁是 2u2 谁是 v2。这就意味着……要分情况讨论。

我抱着头发愁。

情况 1:当 时——

情况 2:当 时——

变成分情况讨论了。

我呆呆地站在森林深处的分岔口处。

确实可以两条路都走。

不过,这样的话就得花两倍时间和精力了。

嗯……有没有什么好办法呢?我再一次回首向走过的路望去,看看有没有忘掉哪个关系式。

嗯?

m 呢?完全没有用到在“原子和基本粒子的关系”里出现的 m = e2 啊。m 应该和基本粒子 s, t 相关联才对啊!嗯……将关系式

左右两边分别相加再除以 2,可得

由此,可得出下式。

也就是说,下式成立。

很好,将 st 分别平方后再相加,就可以把情况 1 和 2 总结成一个式子了!这样就避免了分情况讨论!

哇!整理出了一个相当简单的等式,这就是基本粒子 e 和夸克 u, v 的关系式。不错不错……

诶?话说回来,我高兴个什么劲儿啊?

怎么能因为成功变形了几个等式就高兴呢!我想要的是——找出矛盾。

接下来会出现矛盾吗?

“基本粒子 e 和夸克 u, v 的关系”(接下来会出现矛盾吗?)

  • uv

  • v 是奇数

嗯,虽然很不甘心,但已经困得不行了。

今天就到这里吧……