当前位置:映月读书网 > 区块链:技术驱动金融 > 9.2 比特币作为一个“智能资产”

9.2 比特币作为一个“智能资产”

我们现在来探讨一下,除了货币功能,比特币平台的其他特性。

我们在前面第6章中谈到,你可以简单地通过跟踪交易图谱,就可以在比特币系统里追踪一个币的所有权。请记住这一点:没有一个具体意义上的比特“币”,只有未消费的支出,我们把它们叫作币。每个比特币都有一个历史记录,任何人都可以在区块链里查询到。一个币的历史记录可以追溯到一个或多个原始交易,这些原始交易标志着这个比特币的诞生。正如我们之前讨论过的,在比特币里,匿名性其实是个伪命题,因为你可以通过这个方法去追踪比特币的所有权。

可互换性(fungibility)

比特币的这个特征让我们发现了它的一个有趣的现象:比特币不是可互换的。在经济学中,一个具备可替代性的商品是指所有的个体是相同的,然后可以互相替换。比如黄金就是可以互换的,一盎司纯金可以和另一盎司纯金互换(因为它们之间没有任何差别)。但是比特币不一样,每个比特币都是独一无二的,因为每一个比特币都有着自己独特的历史记录。

在很多场景下,不同的历史记录可能不会有什么差异,但是如果特定的历史记录对某些人比较有意义,那么在你和他们交易的时候,你的一个比特币和他们的一个比特币就不一样。可能有些人不愿意用他的比特币来和你交换,可能因为他更喜欢他的比特币的历史记录,例如,部分重视旧币价值的收藏家们,可能觉得从创世区块里造出的币有着特殊的价值。

智能资产

比特币的这个可追溯性特性有什么作用吗?我们已经看到它可能会危害比特币的匿名性。接下来,我们要看一下为什么比特币的历史记录会有意义。

让我们先思考一下,怎样让一个普通的线下的物理货币有意义?假设我们想要在物理货币中加载一个元数据,事实上已经有人在这么做了。例如,在纸币上涂些文字,通常是一个笑话或者是一种“政治宣言”。但这么做纯粹为了好玩,并不影响纸币的价值。

但如果我们可以把证实过的元数据“黏”在我们的货币上,而这些元数据不是轻易就可以复制的,又会有什么结果呢?有一个做法就是把加密签名包含在元数据内,然后把这个元数据和钞票上的序列号进行绑定。

但这又有什么用呢?比如一个棒球队,如果想用纸币作为门票,那么采用这个做法,他们就不需要花费大量精力去印制门票,也不用担心有人会去伪造门票。纽约扬基队可以宣称一张有特殊序列号的美钞可以作为一场特殊比赛的入场券,并且指定到某个特定的观赛席。这些特殊的纸币可以采用与其他门票同样的方式分发,比如邮寄给在线购买球票的球迷。任何拥有这张特殊纸币的人,都可以凭此进入体育馆,并坐在指定的座位上观看比赛。这张纸币本身就是门票。

扬基队可以用数字签名来增加真实性。他们可以把特定的比赛日期、座位号及钞票的序列号一起做签名,然后把这个签名印在纸币上。通过一个简单的二维码就可以实现这个功能(如图9.3所示)。球馆可以相应地维护一个保存所有钞票序列号对应每场比赛和座位号的数据库,当你凭票入场的时候,它们只需要根据你所提供的二维码去数据库里校验即可,也就不需要在纸币上盖章并印上相关信息了。

图9.3 一张普通的钞票上设置一些有用的元数据

但这样做究竟有什么好处呢?现在,纸币可以代表许多事物。上述例子中,纸币替代了体育比赛门票,除此之外,纸币还可以有其他许多应用。为了纸币不能被伪造,政府投入巨大,我们可以利用纸币上已具备的防伪特性,来创建其他应用。当然,这张纸币的本身价值也保存了下来。当一个球迷使用了这张门票后,这张纸币还可以正常流通。当然,如果每个人都想在钞票上印一个元数据可能会有问题,但我们可以用数据库的方法来规避这个问题。

当然,这个新的元数据是否有意义,完全取决于我们对数据发行者的信任。在上面这个例子中,一定有人知道存在一个特定的“密钥”来签发有效的扬基队球票,或者下载整个扬基队的数据库以识别这个特殊纸币的门票价值,而对其他人来说,这就是一张普通的一美元纸币。无论如何,这是一个不错的属性,因为一旦在这张“门票”完成使命之后,它又可以作为普通纸币进入货币流通。

染色币

在比特币上,我们是否可以采用类似的数字化的方式增加元数据呢?我们想保留比特币好的特性,比如可以在线交易、快速结算,以及不依赖于银行。

顾名思义,染色币(Colored Coins)就是把比特币“染色”,即使这个币几经倒手,我们也可以根据这个特殊的“颜色”来追踪比特币,就如同在物理货币上印上一个代表特殊数据元的图章一样。一个“染色”的比特币依然可以作为一个有效的币,只是携带了额外的元数据。

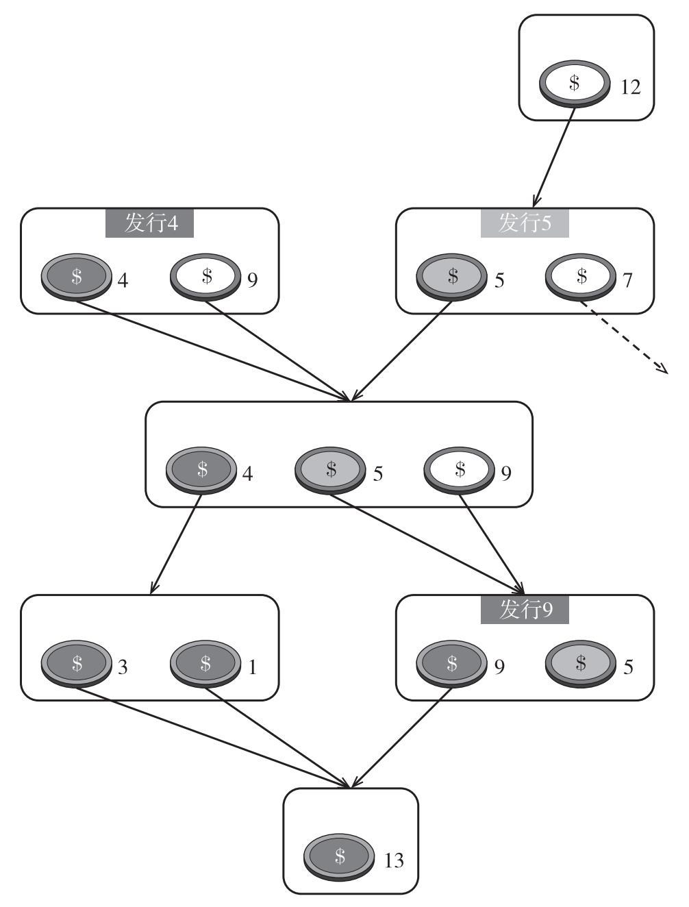
为了做到这一点,在一个被称为“发行”的交易里,我们嵌入一些额外的元数据来宣布某些比特币具备了特定的颜色。如图9.4所示,在一个交易的支出中,我们发行了5个“浅灰色”的比特币,同一交易支出里的其他的7个,仍然是普通的没有染色的比特币。另外一个人,可能持有一把不同的签名密钥,在其他的交易里发行了“深灰色”的比特币。我们称之为“染色”,是为了便于直观理解。在实际中,所谓的“颜色”其实就是一串二进制的数字代码。这里,最重要的一点特性是,同样颜色和同样价值的币是完全相同的。

虽然我们现在有不同颜色的比特币,但依然可以进行正常的比特币交易。我们可能碰到一个交易,它包含了几个不同输入的比特币:有些是深灰色的,有些是浅灰色的,有些是没有染色的,并且混在一起。同时,这个交易可能会有几个支出交易,其中的比特币保持着被染色的状态,并且交易中可以添加一些元数据,决定这些比特币根据染色的不同去往不同的交易支出,我们可以把一个包含4个深灰色币的支出拆分成两个更小的深灰色币组合,我们也可以把几个深灰色币组合到一个大的深灰色币交易中。

图9.4 染色币

注:交易图谱描述了染色币的发行和传播过程。

开放资产

2015年,在比特币里实施“染色”的、最受欢迎的应用方案是“开放资产”(OpenAseet)。资产通过一个特殊的支付给脚本的哈希值(P2SH)的地址来发行。如果你想发行染色币,首先要选择一个P2SH地址。任何通过这个地址转账的币在进入的时候都没有颜色,在出来的时候,就会被这个地址分配一个特定的颜色。如果要让这个染色币变得有意义,你还要把这个地址公布出来。有许多交易所会追踪这些地址来推断比特币染上何种颜色。由于比特币可以按照时间顺序通过多个地址进行染色,因此,一个比特币被染上多个不同的颜色,也就不足为奇了。

一旦执行了一个带有染色币的交易,你就必须嵌入一个有特殊标记的支出,就像我们给数据约定加时间戳一样,这是一个可证实且不可再次消费的支出。被封装在这个有特殊标记的支出里的元数据,详细地列出了染色的输入是如何分配到不同输出的。

正如我们之前所注意到的,比特币对此完全兼容,因为它并不对比特币做任何改变,矿工社区也没有对这种做法多加干涉。无须中央权威授权,它允许任何人对货币进行各种染色。只要有人理解、认可并遵循你所设计的染色币的规则,那么你所发行的染色币甚至有可能超过比特币本身的价值。比如,如果扬基队发行染色币,并且这些币可以作为球场入场门票,只要球场的管理员认可这些染色币的门票特性,他们就会让你凭票(染色币)入场。

这个方法的第一个缺点是,我们必须把不可被再次消费的标记支出放进每个交易里。由于每次交易一个染色币时,都需要多花一些交易费,这会增加一点成本。第二个缺点是,矿工只会验证作为底层基础的比特币的有效性,但不会去验证染色币的有效性。如果想要验证一个染色币的有效性,你必须亲自去查证它所有的历史记录,或是委托第三方来帮你完成。此外,不同于一般的比特币,用户不能使用一个轻量级的简单支付验证客户端。这就使得类似手机这种有计算性能限制的设备,在使用染色币时变得非常困难。

染色币的用途和智能资产

一个经常被引用的智能资产用途就是公司股票。一个想要用染色币来发行股票的公司,需要公布一个发行地址和规则,通过这个地址发行的染色比特币代表了公司的股票。1聪比特币就可能代表公司的1股。股票持有者就可以在区块链上交易股票,而不需要一个像股票交易所这样的中央媒介。当然,股票持有者必须信任公司对这种股权的认可。例如,公司承诺按照每股支付相应的股息或者授权股东对公司决策有比例性的投票权利。传统股票是通过法律规定来保障的,截至2015年,染色币或者其他基于区块链的资产还没有获得任何一个司法机构的认可。[1]

物理特性。另一个可能的用途是,染色币可以代表现实世界中的一些资产。比如,一个染色币可以代表一处房产或者一辆汽车。你所拥有的一辆高级轿车可以和一个在区块链上的特定的染色币关联,然后持有这个染色币的人可以用它来启动和驾驶这辆车。当你要卖这辆车的时候,或是至少要转让使用权的时候,你只要在区块链里简单地执行一个单笔交易。在第11章,我们将探讨在技术上如何实现这个功能,以及一些可能会遇到的社会和法律上的障碍。但是,由于其具备了智能特性,我们的梦想是让现实世界中任何有形资产都可以用染色币来代表,并且资产的转让或交易就像比特币的转让或交易一样容易。

域名。最后一个例子是,使用染色币来完成一些现有域名系统的功能:登记和转让拥有权,关联域名和IP地址。域名市场有许多有意思的特征,其中之一是它有无数可能的域名。根据域名名字是否方便记忆以及其他因素,域名有着不同的价值;同样,对于不同的人,一个域名可能有完全不同的意义。我们可以用染色币来处理域名登记和其他相关功能。事实上,有一个另类币就是为这个目的而设计的,叫作域名币(Namecoin),我们会在第10章中做具体讨论。每个方法都有自己的独特优势,染色币可以获得比特币区块链的安全保护;而另类币可以相对容易地部署域名登记、转让、关联IP等复杂逻辑。

[1] 2016年3月,美国在线零售商Overstock已经获得了美国证券交易委员会(SEC)的批准,通过比特币区块链技术发行100万股新股。——译者注