当前位置:映月读书网 > 区块链:技术驱动金融 > 3.5 比特币网络

3.5 比特币网络

到这里,我们已经讨论了参与者可以发布交易,并将交易纳入区块链,这一切似乎很神奇。事实上,上述整个过程都是通过比特币网络完成的。比特币网络是一个点对点的网络,沿用了很多已有的点对点网络的理念。在比特币网络里,所有的节点都是平等的。没有等级,也没有特殊的节点,或所谓的主节点。它运行在TCP网络上,有一个随意的拓扑结构,每个节点和其他的随机节点相连。新的节点也可以随时加入。可以试着现在就下载比特币节点软件,把你的个人电脑注册为一个节点,这个节点的权限和比特币网络里所有其他节点都是一样的。

由于随时有新的节点进入,也有旧的节点离开,所以比特币网络事实上一直在变化。并没有强制的规定节点何时明确地离开网络,只要一个节点有3个小时没有音讯,就会慢慢地被其他节点忘记。通过这个方式,网络非常缓和地处理节点下线问题。

上文提到,每个节点和其他随机节点相连,网络中并不存在一个确定的地理学意义上的拓扑结构。那么一个节点是如何加入网络的呢?当你启动一个新节点的时候,先向一个你知道的节点发送一个简单的消息。这个节点就是你的种子节点,当然,有多种不同的方法可以查找种子节点。然后你就会问你的种子节点是不是还知道其他什么节点?在链接到一个新的节点后,你可以重复这个过程许多次,最后你可以选择和哪些节点相连,这时,你就成为比特币网络里一个完全合格的节点了。这些步骤里有很多随机性,理想的情况就是你能和一些随机组的节点相连。为了加入网络成为网络节点,你只需知道一开始怎么和其中一个节点链接就行了。

那加入网络到底有什么好处?当然是为了维护区块链。当我们发起一个交易的时候,我们想让整个网络都知道。这是通过一个“泛洪”(flooding)的算法完成的[有时候我们称之为“八卦”(gossip)协议]。如果爱丽丝要转账给鲍勃,她的客户端发起一个交易,然后把这笔交易告知所有和她的客户端节点相链接的其他节点,这些节点会进行一系列核验,决定是否接受并转播这笔交易。如果核验通过,这些节点会将这笔交易信息传播给与其相连的其他节点。当节点接收到一个交易信息后,会把交易放入一个交易池,但需要注意的是,交易池里的交易还没有被打包进区块链。如果节点接收到的交易在交易池里已经存在,就不会再次把它传播出去。这样,就确保了泛洪协议会自动终结,而不是让一个交易在网络一再被传播永不停止。由于每个交易都有一个独一无二的哈希值,所以节点可以非常方便地查询某个交易是否在自己的交易池里。

节点接收到一个新交易信息时,如何核验呢?这里有四个关卡:第一个也是最重要的一个是交易验证,也就是验证交易在当前的区块链中是有效的,节点会针对每个前序交易的输出运行核验脚本,确保脚本的返回值都为真;第二,检查是否有双重支付;第三,如前文所述,节点会检查这笔交易信息是不是已经被本节点接收过;第四,节点只会接收和传递在白名单上的标准脚本。

上述所有检查都是合理检查,所有节点很好地执行这些检查能够使网络健康、稳定地运行,但实际上并没有规则强制节点执行这些检查。虽然如此,每个节点还是有必要进行检查的——因为比特币网络是一个点对点的对等网络,任何人都可以随时加入,总有一些节点会发出双重支付,或者非标准脚本的交易,甚至彻底就是非法交易。

由于网络传递有延迟,不同的节点可能会有不同的交易池。当有双重支付攻击的时候,这个现象会变得十分有意思。假设爱丽丝想把同一个比特币支付给鲍勃与查理,于是,爱丽丝几乎同时发出两笔交易。有些节点先听到爱丽丝→鲍勃交易,有些则先听到爱丽丝→查理交易。当一个节点接收到了这两个交易当中任何一个,它就会把接收到的交易放入交易池中,之后,它听到了另一个交易,看上去像是双重支付交易,这个节点就会把它丢弃掉不再向外传播。结果就是众多的节点会对“哪一个交易应该被纳入区块链”产生分歧。这种情况被称为竞态条件[1](race condition)。

好在对于比特币来说,这完全不是问题:打包下一个区块的矿工会打破这个僵局,他会决定哪个交易会最终打包进这个区块。如果爱丽丝→鲍勃的交易进入区块,那些听到爱丽丝→查理的节点会把爱丽丝→查理的交易从交易池里剔除,因为那是一个双重支付;而那些听到爱丽丝→鲍勃的节点也会把这个交易剔除出去,因为这笔交易已经被纳入区块链。因此,一旦这个区块被传播以后,就不再有前面说的分歧了。

由于每个节点默认保留最早接收到的交易,所以节点在网络上的位置就很重要。如果两个矛盾的交易或区块在网络上两个不同地方被发起,它们会同时向整个网络广播,节点先接收到哪个交易取决于它在网络的位置。

当然,这基于一个假设:不管接收到什么信息,每个节点均保留最早接收到的交易。但是比特币网络是一个对等的网络,节点并不被强制要求这么做,任何节点都有权按照其他逻辑行事,并按照所选的逻辑决定到底保留哪个交易、转播哪些交易,我们会在第5章的矿工奖励部分讨论这个问题。

零验证交易和费用替代策略(replace-by-fee)

在第2章我们讨论了零验证交易,即一旦交易在网络中广播,接收方就立即接受交易。零验证交易不是用来防止重复支付的,但由于矿工的缺省行为是把先接收到的交易放入交易池,这样,在零验证交易里就很难实现重复支付,同时,由于零验证交易非常方便,因此变得越来越普及。

自从2013年,矿工的缺省行为变成了“费用替代策略”, 即节点在遇到有冲突的交易时,会把交易手续费更高的交易放进自己的交易池,把手续费更低的替换出去。站在矿工的角度,由于收益更高,因此也是理性的选择——至少在短期看是这样。但是这种费用替代策略却使多重支付攻击变得更容易了。

因此,费用替代策略受到了不少争议,这些争议一方面从技术层面讨论在费用替代策略中是否可以真正阻止多重支付;另一方面从哲学层面讨论比特币是不是应该要尽可能支持零验证,或直接放弃费用替代策略。我们这里就不再赘述这些讨论了很久的争议了,但最近比特币核心代码倒选用了“有选择权的”(opt-in)费用替代策略的做法,也就是交易可以标记自己是否适用费用替代策略。

上面说的是交易的传播。至于区块的传播,即矿工挖到一个矿(打包一个区块),然后将区块加入区块链,这个过程与新交易的传播过程类似,也受同样竞态条件的限制。如果两个有效的区块同时被挖到(也就是有两个矿工同时获得了记账权力时),只有其中一个区块可以进入长期共识链,哪个区块被最终纳入长期共识链取决于其他节点选择在哪个区块上扩展区块链,未被纳入的一个即被丢弃。

核验一个区块要比核验一个交易复杂得多。除了确认区块头部,确定里面的哈希值是在可以接受的范围内,节点还必须确认区块里的每个交易。最后,一个节点往外传播的区块必须是最长的一条区块链上新加入的区块(当然,“最长的区块链”取决于节点对区块链当前状态的认识)。只有这样才可以防止区块链分叉。但就像传播交易时一样,节点同样可以执行它自己的逻辑:它可以选择传递无效的区块,也可以选择传递在共识链上更早加入的区块而不是最新加入的区块。这样就会造成一个分叉,不过这种情况是协议可以承受的。

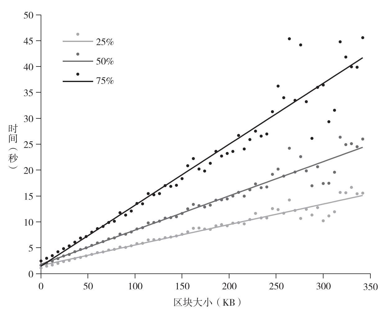
泛洪算法(flooding algorithm)的延迟情况到底怎样呢?我们一起看一下图3.9,这张图展示了区块被网络中不同数量的节点接收所花费的时间(秒)。三条线分别代表区块被网络中25%、50%、75%的节点接收到所需要的时间。可以看到,由于网络带宽的限制,比较大的区块需要30秒左右才能传播到大部分的节点。所以这个协议不是很有效率。在互联网上30秒是比较长的时间了,在比特币的设计里,简便是第一位的(简单的网络、节点可随时加入或退出),而效率是第二位的,所以在比特币网络里,一个区块可能需要经过很多节点才到达最远的节点。如果网络采取自上而下的设计,那我们就需要使任何两个节点的距离都很短。

网络大小

比特币网络大小很难测量,因为它随时都在变化,而且没有一个中央权威机构。有些人通过研究给了一些估计:往高说,每个月可能有100万个IP地址成为比特币网络的节点(也可能是临时成为节点)。往低说,大约只有5 000~10 000节点永远在线并处理交易。这个数字有点出乎意料得小,但是截至本书完成时,并没有证据表明永远在线的节点数量在升高或降低。

图3.9 区块传播时间

注:展示了区块被网络中不同数量(百分比)的节点接受所花费的时间。

资料来源: Yonatan Sompolinsky和Aviv Zohar, 加快比特币交易的传播速度 (Accelerating Bitcoin\'s Transaction Processing,2014)。可从下述网址获得https://eprint.iacr.org/2013/881。数据由Yonatan Sompolinsky和Aviv Zohar授权使用

存储空间需求

完全有效的节点必须永久在线,这样才能接收到所有的交易数据。一个节点离线时间越久,当它重新连接到网络的时候,就需要越多时间来更新所有交易。这些节点还需要把完整的共识区块链都存储下来,也需要有好的网络连接,确保可以接收到所有交易并将其转播给其他节点。目前的存储空间大约要几十个GB(见图3.10),一台台式机就能满足要求。

最后,完全有效节点必须维护在交易中产生的(交易的输出)、未被消费掉的比特币的完整列表,这个列表最好放在内存而非硬盘里,这样,在接收到一个交易信息的时候,节点才能快速查看、运行脚本,验证签名是否有效,然后把交易放入交易池。到2014年年中,大约有4 400万的交易被纳入区块链,其中有1 200万个交易产生的比特币没有被使用。还好,这个数据不大,可以很容易地放进1G内存里。

图3.10 区块链的大小

注:全节点必须保持整个区块链,在2015年年底,区块链大小在50GB以上。

轻量节点

除了完全有效节点之外,还有一种轻量节点(nightweight nodes),或者称为轻客户端,也叫简单付款验证(Simple Payment Verification,简称SPV)客户端。事实上,在比特币系统里的大部分节点都是轻量节点。这些节点不会存储整个比特币区块链,它们只存储它们所关心的、需要进行核验的部分交易。如果你使用一个钱包软件,那里面就会有一个SPV节点,这个节点只会下载向你的账户付款的交易及区块头部。

一个SPV节点的安全等级远不如全节点。它可以核验那些很难被挖到的区块——因为它有区块头部数据,但它不能核验一个区块里所有交易记录的有效性——因为它没有所有的交易历史记录,也没有那些未被消费的比特币的列表。SPV节点只验证那些和它们相关的交易,所以它们必须依赖那些全节点去验证网络上的其他所有交易。这虽然是一种安全性上的妥协,却不是个坏主意:轻量节点依赖全节点去处理那些比较难的工作,但当某个区块由于某些原因未被矿工挖出来时(挖矿成本巨大),这些轻量节点也会做一些核验来确保这个区块不会被拒绝。

作为一个SPV节点可以节省很多资源。区块头部的大小只是整个区块链的千分之一。所以轻量节点不需要几十G的存储空间,只需要几十MB即可,即使一部智能手机也能成为比特币网络的轻量节点。

比特币是一个开源协议,比特币网络一定是由实现方式各不相同的软件系统在无缝交互。这样,即使有些软件系统有缺陷,也不至于使整个比特币网络瘫痪。比较好的现象是,人们用不同的语言不断地重新实现协议,有些人用C++、有些人用Go语言,还有不少人用其他语言。不好的现象是,绝大部分的节点都会调用比特币官方客户端的资源库(bitcoind library),这个库是比特币核心代码开发者们用C++开发的库,而且有些节点用的是过时的版本。所以,即使在同一时间,大家运行的客户端都略有不同。

[1] 竞态条件也可理解为紊乱情况。——译者注